Добавить в корзинуПозвонить
Найти в Дзене
ЭврикаХаб

Способы, позволяющие вычислить квадратный корень из любого числа без таблиц и калькуляторов

Оглавление

#хакнем_математика 👈 рубрика, содержащая интересный, познавательный контент по математике как для школьников, так и для взрослых 🥳

Авторские права на изображение принадлежат медиагруппе "Хакнем" и защищены товарным знаком ®️
Авторские права на изображение принадлежат медиагруппе "Хакнем" и защищены товарным знаком ®️

УНИВЕРСАЛЬНЫЕ СПОСОБЫ (ПРИЁМЫ) ИЗВЛЕЧЕНИЯ КВАДРАТНОГО КОРНЯ

ЧАСТЬ II (часть I по ссылке)

Здравствуйте, уважаемые читатели канала Хакнем Школа!

Прежде чем перейти к рассмотрению универсальных способов (приёмов) извлечения квадратного корня из любого неотрицательного рационального числа, к слову сказать, весьма трудоёмких, необходимо разобраться со следующей теоремой, утверждение которой будет нами широко использоваться.

ТЕОРЕМА. Если a > b >0 , то a >√ b .

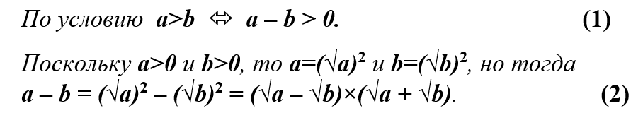
ДОКАЗАТЕЛЬСТВО.

-2

Из (1) и (2) следует (√ a – √ b )×(√ a + √ b ) > 0 . (3)

Из неравенств a >0 и b >0 по определению квадратного корня имеем a >0 и b >0 , но тогда a + √ b > 0 . (4)

Произведение двух множителей положительно тогда и только тогда, когда либо оба множителя больше 0, либо оба множителя меньше 0.

Из (1) и (4) следует, что a – √ b > 0 ó √ a > √ b , что и требовалось доказать.

Приступим к рассмотрению приёмов непосредственного извлечения квадратного корня из натуральных чисел. Прежде всего обратимся к хорошо нам известному приёму разложения натурального числа на множители, который основан на признаках делимости, которые можно при необходимости повторить по статье «Признаки делимости чисел: где мы их применяем в жизни», автор #ирина_чудневцева .

СПОСОБ I

ЗАДАЧА 1. Вычислить √91728.

РЕШЕНИЕ. Под знаком радикала стоит пятизначное число, которого нет в четырёхзначных таблицах квадратов, и нельзя использовать калькулятор. В этом случае нам поможет разложение этого числа на простые множители. Получим:

-3

Поскольку квадратный корень произведения равен произведению квадратных корней сомножителей, то

-4

Если под знаком корня стоит десятичная дробь, то её следует представить в виде произведения целого числа, убрав запятую, и десятичной дроби с числителем, равным единице, и числом знаков после запятой, равным числу знаков после запятой в заданной дроби, при этом число этих знаков должно быть чётным, например:

√917,28=√(91728×0,01)=√91728 × √0,01=84√13 × 0,1=8,4√13.

Прежде чем перейти к следующему способу непосредственного вычисления квадратного корня необходимо рассмотреть следующую лемму:

ЛЕММА (об опорных квадратах).

Пусть нам известен квадрат одного из двух последовательных натуральных чисел m и n , таких, что n = m +1 или, что то же, m = n 1 .

В этом случае становятся верными два тождества:

-5

ДОКАЗАТЕЛЬСТВО.

-6

Отдельный интерес представляет случай использования этих тождеств, когда n и т дроби, отличающиеся друг от друга на единицу самого младшего разряда, например:

-7

Следующий способ, опирающийся на метод подбора каждой цифры результата путём последовательных приближений с использованием средних арифметических значений, позволяет извлекать квадратный корень с наперёд заданной точностью.

СПОСОБ II

При решении предыдущей задачи осталась одна неясность: чему же равен √13 ? Попытаемся ответить на этот вопрос. Восьмиклассники уже знают, что значения квадратных корней из чисел, не являющихся точными квадратами, относятся к так называемым иррациональным числам , которые могут быть представлены в виде бесконечных непериодических десятичных дробей . Поэтому в различного рода расчётах их представляют округлёнными до конкретного разряда числами.

ЗАДАЧА 2. Найти значение √13 с точностью до сотых.

РЕШЕНИЕ. Рассмотренная в начале статьи теорема позволяет опереться на следующее неравенство:

-8

Среднее арифметическое чисел 0 и 1, между которыми может находится значение цифры, стоящей в разряде десятых искомого значения корня квадратного, равно числу 5 , и это число является первым кандидатом на то, чтобы соответствующая ему цифра была проверена соответствующей подстановкой. Однако можно заметить, что число 13 находится дальше от числа 9 нежели от числа 16 . Поэтому проверку можно начать с цифры 6, и заодно покажем интересный способ вычисления квадратов таких чисел с помощью так называемых опорных квадратов.

-9

Подбор цифры в разряд сотых начнём с квадрата числа 3,61:

-10

С целью получения наименьшей погрешности необходимо найти цифру для разряда тысячных для последующего округления…

Выберем цифру 5 из середины интервала (0, 9) :

-11

Для разряда тысячных необходимо ещё проверить цифру 6 :

-12

СПОСОБ III

Этот способ, значительно облегчающий подбор цифр-кандидатов, является удачной формализацией второго способа.

ЗАДАЧА III. Найти значение √13 с точностью до сотых.

РЕШЕНИЕ. Поскольку квадрат однозначного числа равен однозначному или двузначному числу, то натуральное число надо разбить на грани по две цифры в каждой, начиная с разряда единиц а десятичную дробь — от запятой, причём последнюю грань при необходимости следует дополнить цифрой 0 .

Предварительный результат будет содержать три цифры после запятой — значит, десятичная часть числа, из которого будем извлекать квадратный корень будет содержать три грани:

13,00 | 00 | 00.

Ищем наибольшее число, квадрат которого не превосходит числа 13, стоящего в первой грани. Этим числом будет 3. Записываем его в ответ — это будет первая цифра результата. Поскольку следующая грань находится после запятой, то ставим запятую в ответ.

Возводим число 3 в квадрат и результат вычитаем из первой грани.

-13

К найденной разности приписываем справа вторую грань и получаем число 400 . Слева от этого числа ставим вертикальную чёрточку на две строчки и слева от неё записываем удвоенную цифру полученного результата (цифру 6 ), оставляя между этой цифрой и вертикальной чертой место для ещё одной цифры, обозначенной литерой а .

Эту цифру подбираем таким образом, чтобы произведение двузначного числа на это число 6а× a было наибольшим, но не больше числа 400 справа от вертикальной черты. Таким числом будет число 6 .

Вычтем (столбиком) произведение 66×6=396 из числа 400 и запишем разность под горизонтальной чертой, проставив слева от неё вертикальную черту на две строчки. Слева от этой черты запишем сумму 66+6=72, оставив место для ещё одной цифры между полученной суммой и вертикальной чертой.

Повторяем действия описанные в предыдущих двух абзацах пока не получим цифры в разряде тысячных результата. В итоге мы получим следующую запись:

Вычисление √13.
Вычисление √13.

Осталось провести округление: √13 = 3,603…≈3,61.

Попробуйте самостоятельно найти √2374,6129 и сверить свои действия с приведённым образцом.

Вычисление √2374,6129
Вычисление √2374,6129

Помните, что дорогу осилит идущий! Желаю успехов и не только в учёбе!

Продолжение следует...

Не забудьте подписаться на канал Хакнем Школа и хэштег #хакнем_математика

Автор: #себихов_александр 71 год, много лет проработал конструктором-технологом микроэлектронных приборов и узлов в одном из НИИ г. Саратова, затем преподавателем математики и физики.

Читайте наш канал в телеграм - по этой ссылке

Другие статьи автора:

-16