Найти в Дзене

Необычная задача профильного ЕГЭ

Математика онлайн. Доступно о сложном

Здравствуйте, уважаемые любители математики!

Эта задача на первый взгляд кажется достаточно сложной, так как аргумент x присутствует и под знаком косинуса, и вне его.

Однако, если присмотреться, то можно увидеть формулу сокращенного умножения.

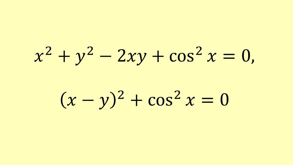
Итак, переносим 2xy в левую часть и сворачиваем формулу:

Преобразование уравнения
Преобразование уравнения

Теперь проанализируем получившееся равенство.

Оба слагаемых в левой части неотрицательны. Следовательно, их сумма тоже неотрицательна.

В правой части стоит нуль.

Равенство возможно только в том случае, когда оба слагаемых в левой части равны нулю.

Составляем систему уравнений и решаем ее:

Решение получившейся системы уравнений
Решение получившейся системы уравнений

А теперь упражнения для тех, кто хочет потренироваться решать подобные уравнения:

Уравнения для самостоятельного решения
Уравнения для самостоятельного решения

Решение и ответ - в самом конце статьи.

Разобранное уравнение - из сборника Кочагина В.В, Кочагиной М.Н. "ЕГЭ 2020. Математика".

Два последних задания составлены автором канала.

Все статьи серии "Задачи профильного ЕГЭ"

О канале

Рубрикатор канала

Тесты по математике

Не забудьте подписаться на канал, если

- Вам интересны вопросы, которые здесь разбираются;

- Вам могут потребоваться консультации по математике (подробнее здесь).