Сколько целых чисел расположено между, Вариант 3, задание 8, Ященко ОГЭ 2020
А вы знали что натуральных чисел столько же сколько и целых?
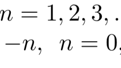
Да-да, вы не ослышались, натуральных чисел n( напомним, что натуральные числа - это множество 1, 2, 3, 4, ... ) столько же, сколько и целых чисел z(множество целых чисел - это ...,-3 ,-2 ,-1 ,0 , 1, 2, 3, ...) и сейчас я это докажу. Сразу отмечу, что это не обман, не софизм, а чистый математический факт. Для того, чтобы сравнивать между собой бесконечные множества(а натуральные числа, как и целые, есть бесконечные множества), математики вводят следующую вполне интуитивную вещь: Бесконечные множества...
Целые и рациональные числа: 5 секретов, которые помогут разобраться быстро и навсегда
Знакомо, когда с математикой все не так просто? Задачи с числами заставляют ломать голову, а кажется, что все должно быть гораздо проще. В этой статье мы расскажем о целых и рациональных числах — как их различать и запомнить, чтобы не теряться на уроках и экзаменах. Вы узнаете, почему это важно и как освоить эту тему за несколько шагов. ✔ Наша группа ВК заходите и подписывайтесь: 👉 ВК Учись Легко
✔ Наш Telegram-канал с новостями, подписывайтесь: 👉 Учись Легко Если вы хотите понять разницу между целыми и рациональными числами, начнем с основ...