ВСЕ О ВАКУУМНЫХ ПРОБИРКАХ С НАТРИЙ ГЕПАРИНОМ: В этом видео мы расскажем вам все о пробирках с натрий гепарином: для чего их используют и в чем их преимущества #5drops #5капель #пробирки
Гепарин-действие, дозировка и побочные эффекты.
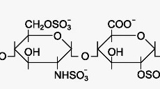
Гепарин - это ингредиент, название которого наверняка уже не раз стучало по ушам. Когда вводят гепарин? Каковы его эффекты, Побочные эффекты и дозировка? Узнайте о компоненте многих антикоагулянтов и получите необходимые знания. Гепарин - это компонент, обладающий свойствами, подавляющими свёртываемость крови. Вырабатывается в тучных клетках, в сердце, печени, легких и кишечнике. В медицине он известна ещё с древних времён. Мазь и гель - его самая распространенная форма. Существует также возможность внутривенного и подкожного введения гепарина...
Гепарин уколы в живот для чего делают
Гепарин – это антикоагулянт прямого действия, то есть лекарство, которое препятствует свертыванию крови. Инъекции гепарина в живот – распространенная практика, применяемая в различных медицинских ситуациях. Почему именно в живот и для чего он нужен? Почему уколы делают в живот: Хорошее кровоснабжение: Подкожная жировая клетчатка в области живота хорошо кровоснабжается, что обеспечивает быстрое и равномерное всасывание гепарина в кровь. Меньше риска повреждения мышц и нервов: В отличие от внутримышечных...