Добавить в корзинуПозвонить
Найти в Дзене
Сеятель

Платежи по ОФЗ в апреле 2026 года

После данных за январь: февраль: март: Минфин опубликовал данные о выплатах по ОФЗ в апреле 2026 года. Хотя погашений в этом месяце нет никаких, выплаты по купонам существенны: 410 млрд руб. Это намного больше, чем в апреле прошлого года - 235 млрд. руб. Такой рост произошёл из-за серии новых ОФЗ ПД, которые Минфин выпустил за последний год, а также доразмещения существующих облигаций. График по выплатам с начала года: Удачи и трезвого анализа в ваших инвестициях!!! P.S. Подписывайтесь на мой телеграмм-канал: https://t.me/Cervonets

После данных за январь:

февраль:

март:

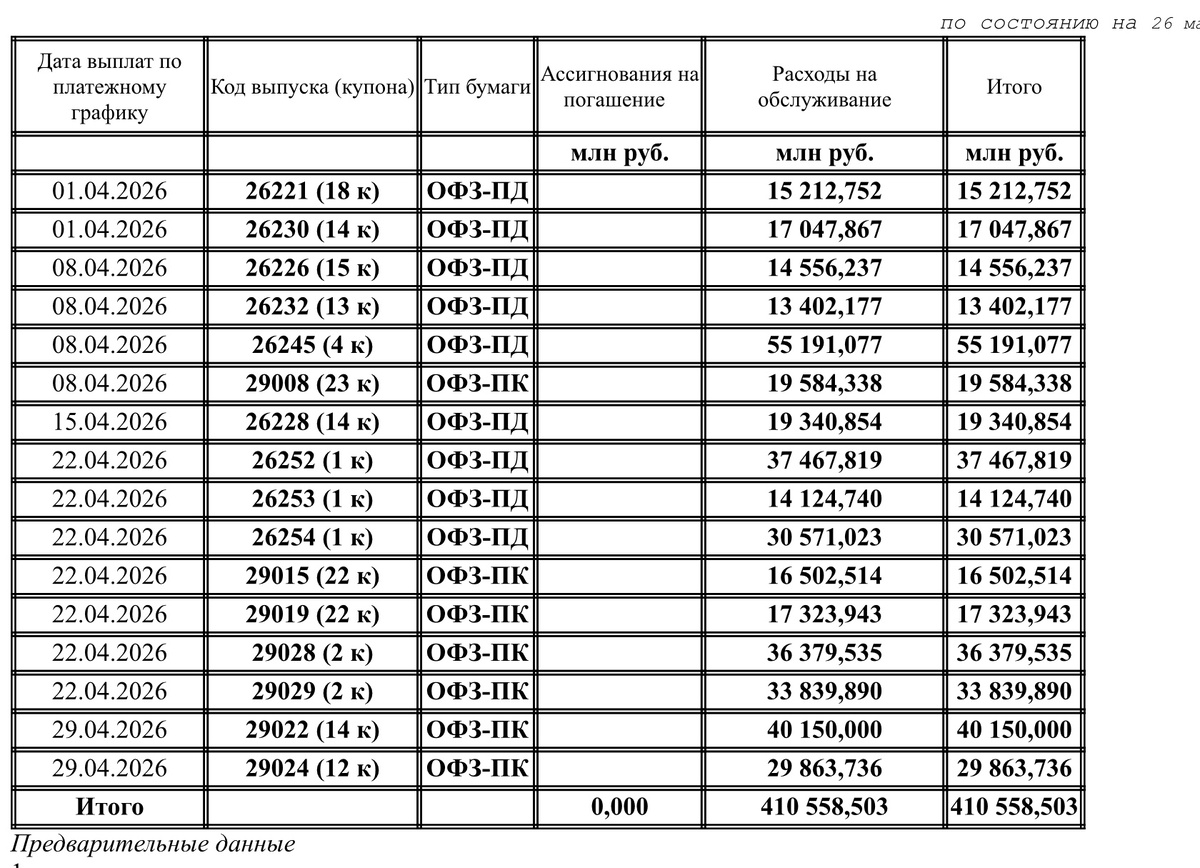
Минфин опубликовал данные о выплатах по ОФЗ в апреле 2026 года.

Хотя погашений в этом месяце нет никаких, выплаты по купонам существенны: 410 млрд руб.

Это намного больше, чем в апреле прошлого года - 235 млрд. руб.

Такой рост произошёл из-за серии новых ОФЗ ПД, которые Минфин выпустил за последний год, а также доразмещения существующих облигаций.

График по выплатам с начала года:

-2

Удачи и трезвого анализа в ваших инвестициях!!!

P.S. Подписывайтесь на мой телеграмм-канал:

https://t.me/Cervonets