Добавить в корзинуПозвонить
Найти в Дзене
Сеятель

Платежи по ОФЗ в марте 2026 года

После данных за январь:
февраль: Минфин опубликовал данные о выплатах по ОФЗ в марте 2026 года. Платежи в марте резко возрастают. Сошлось сразу две причины: График по выплатам с начала года: Удачи и трезвого анализа в ваших инвестициях!!! P.S. Подписывайтесь на мой телеграмм-канал: https://t.me/Cervonets

После данных за январь:

февраль:

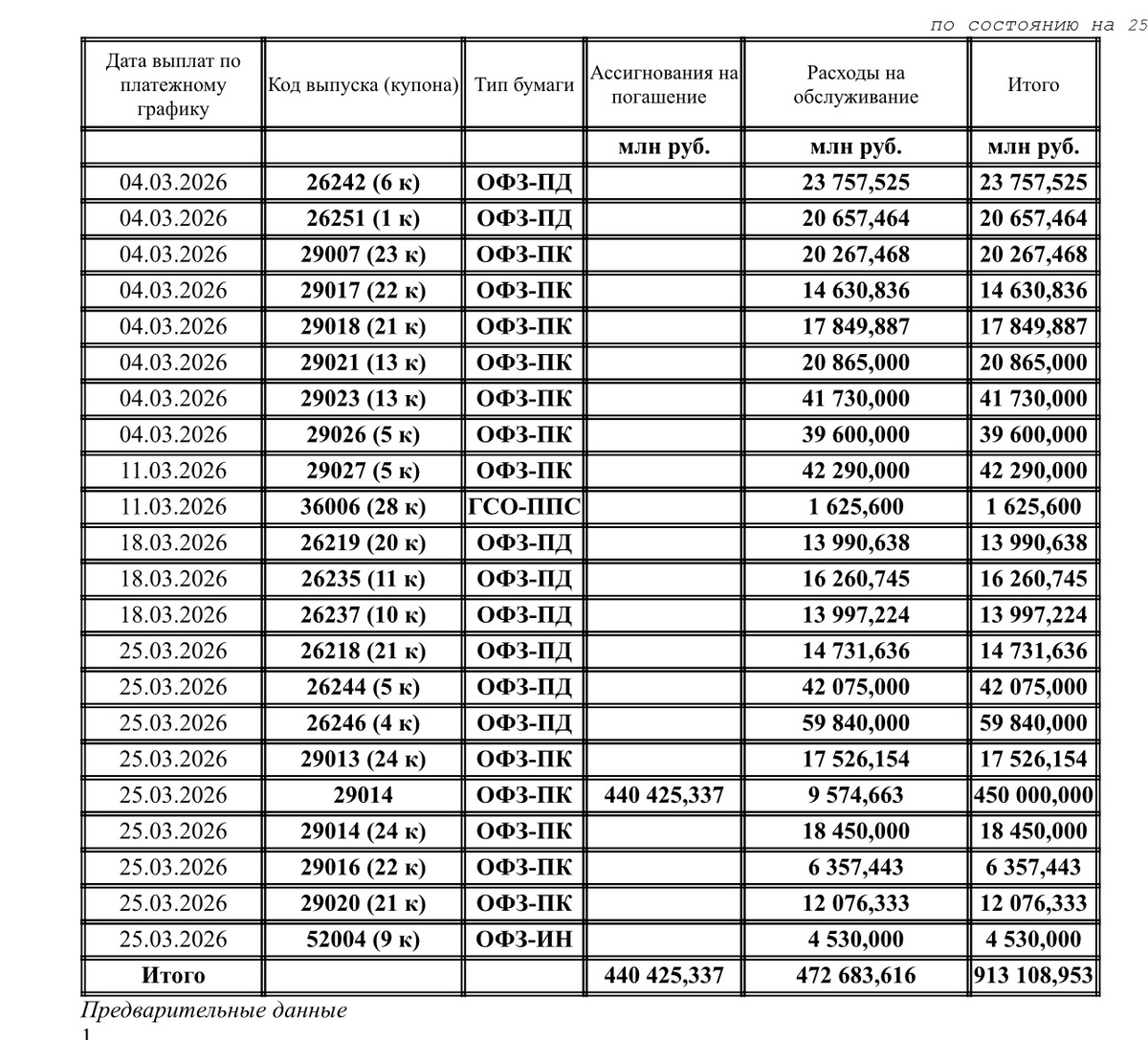
Минфин опубликовал данные о выплатах по ОФЗ в марте 2026 года.

Платежи в марте резко возрастают. Сошлось сразу две причины:

  • погашение крупного выпуска ОФЗ ПК
  • резкий рост выплат по купонам. Несмотря на снижение ключевой ставки, выплаты по купонам в марте 2026 года выше, чем год назад (472 млрд руб вместо 469 млрд руб)

График по выплатам с начала года:

-2

Удачи и трезвого анализа в ваших инвестициях!!!

P.S. Подписывайтесь на мой телеграмм-канал:

https://t.me/Cervonets