Добавить в корзинуПозвонить
Найти в Дзене
Просто Училка. Методичка

Не отвлекаемся: краткий обзор тем по математике для 7 класса. 22 неделя школьного обучения

7 класс. По изучаемым темам изменений нет. Алгебра - ФСУ, геометрия - соотношения между сторонами и углами треугольника. Для разнообразия упражнения не из учебника. По геометрии вообще тест! Редкий в наших краях зверь, но вполне возможен. Повторение. Задачи и линейные уравнения. Да, они линейные, даже если ученик утверждает, что там вообще-то дроби есть. ❗️Если у вас появились трудные номера по темам поста, пишем сюда. Мы с завучем канала, Галиной Наильевной, постараемся помочь. ❗️Если у вас есть вопросы по другим темам седьмого класса, тоже пишите. ❗️Если у вас возникли срочные вопросы по другим классам во внеплановые дни, приходите в телеграм-канал, мы с завучем там всегда: ❗️В субботу будет продолжать выходить рубрика, в которой мы будем коротко освещать математические трудности недели и ждать ваших вопросов💯 Поддержать работу канала можно тут👉: Спасибо🙏

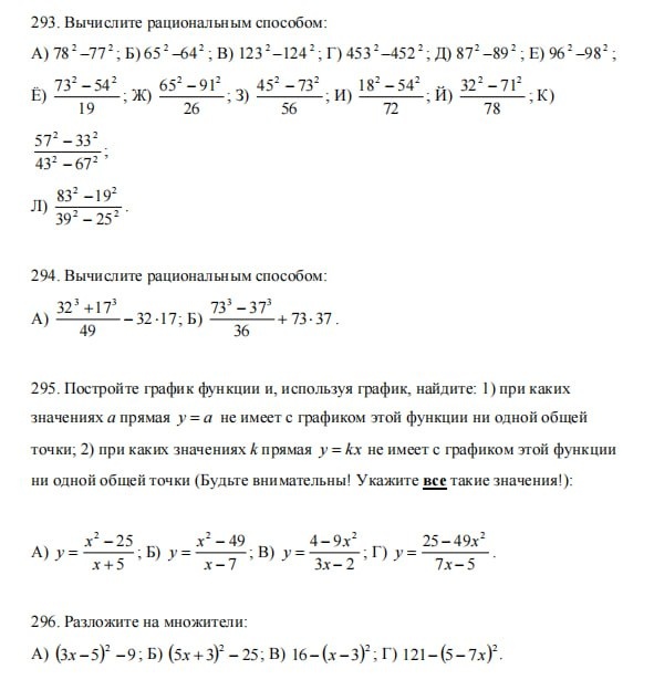
7 класс.

По изучаемым темам изменений нет. Алгебра - ФСУ, геометрия - соотношения между сторонами и углами треугольника.

Для разнообразия упражнения не из учебника. По геометрии вообще тест! Редкий в наших краях зверь, но вполне возможен.

Повторение. Задачи и линейные уравнения. Да, они линейные, даже если ученик утверждает, что там вообще-то дроби есть.

❗️Если у вас появились трудные номера по темам поста, пишем сюда. Мы с завучем канала, Галиной Наильевной, постараемся помочь.

❗️Если у вас есть вопросы по другим темам седьмого класса, тоже пишите.

❗️Если у вас возникли срочные вопросы по другим классам во внеплановые дни, приходите в телеграм-канал, мы с завучем там всегда:

Просто Училка live

❗️В субботу будет продолжать выходить рубрика, в которой мы будем коротко освещать математические трудности недели и ждать ваших вопросов💯

Поддержать работу канала можно тут👉: Спасибо🙏

-2
-3
-4
-5
-6

-7