Добавить в корзинуПозвонить
Найти в Дзене
ЛАССАРД

Что такое 1G?

Рассказываем о загадочном параметре в таблице характеристик волоконного лазерного станка для резки металла. Когда мы говорим о линейном ускорении по осям 1G, это означает, что подвижная каретка с оптической головой может увеличивать свою скорость с ускорением a, выраженным в единицах ускорения свободного падения g ≈ 9.8 м/с². При таком ускорении каждую секунду скорость может увеличиваться максимум на 9.8 м/с. С нуля до скорости ~35 км/ч станок разгоняется примерно за 1 секунду. Лазерная резка — это не только движение по контуру, но динамический тепловой процесс. Лазерное излучение локально нагревает материал до температуры плавления. Если оптическая голова движется слишком медленно или делает вынужденную паузу (замедление-разгон на остром угле), лазер перегревает область реза. Происходит увеличение ширины реза, оплавление кромок, образование грата. Рассмотрим реальный пример — резку контура углом 90°. Пусть оптическая голова подходит к вершине угла со скоростью v = 10 м/с. Таким образо
Оглавление
Что такое 1G?
Что такое 1G?

Рассказываем о загадочном параметре в таблице характеристик волоконного лазерного станка для резки металла.

Физика

Когда мы говорим о линейном ускорении по осям 1G, это означает, что подвижная каретка с оптической головой может увеличивать свою скорость с ускорением a, выраженным в единицах ускорения свободного падения g ≈ 9.8 м/с². При таком ускорении каждую секунду скорость может увеличиваться максимум на 9.8 м/с. С нуля до скорости ~35 км/ч станок разгоняется примерно за 1 секунду.

Лазерная резка — это не только движение по контуру, но динамический тепловой процесс. Лазерное излучение локально нагревает материал до температуры плавления.

Если оптическая голова движется слишком медленно или делает вынужденную паузу (замедление-разгон на остром угле), лазер перегревает область реза. Происходит увеличение ширины реза, оплавление кромок, образование грата.

Единица — это много или мало?

Рассмотрим реальный пример — резку контура углом 90°. Пусть оптическая голова подходит к вершине угла со скоростью v = 10 м/с.

Станок с ускорением 0.3G

  1. Чтобы пройти вершину угла, станок начинает торможение на расстоянии v²/2a = 1.67 мм
  2. Замедление и последующий разгон занимает время
    2
    v/a ≈ 0.067 с

Таким образом, на расстоянии ~1.7 мм до реальной геометрической вершины мощность лазера уже должна быть скорректирована, а в самой вершине происходит почти 70-миллисекундная пауза.

Станок с ускорением 1G

Расстояние равно 0.5 мм, а время изменения направления скорости = 0.02 с. Зона термического влияния сокращается в 3–4 раза. Сфокусированный лазерный пучок проходит угол на высокой скорости, минимизируя паузу, и следовательно, перегрев. Точность геометрии повышается.

Почему ускорение ограничивают?

Казалось бы — нет преград, сделайте ускорение 10G! Но:

повышенное ускорение приводит к возбуждению низкочастотных колебаний в портале станка и высокочастотных — в оптической голове. Любая вибрация — это смещение фокусного пятна. Рез получается неровным и неконтролируемым, теряется перпендикулярность кромки.

И вот уже оптическая голова вместо 35 кг «весит» все 350! А повышенные знакопеременные нагрузки ведут к ускоренному износу механических компонентов, люфтам и, в конечном итоге, потере базовой точности станка.

Для обеспечения высокого значения ускорения нужны приводы с большим моментом, что увеличивает стоимость, энергопотребление и требования к системе управления.

Золотая середина

Ускорение уровня 1G — это современный технологический компромисс, найденный на пересечении требований тепловой физики процесса резки (быстро пройти сложный контур), законов механики и прочности конструкций (не сломать станок инерционными нагрузками) и экономической целесообразности (уменьшить стоимость и повысить надёжность).

Как ускорение по осям влияет на выбор станка для лазерной резки:

  • При выборе станка для фигурной резки (архитектурный декор, детали сложной формы) параметр ускорения не менее важен, чем максимальная скорость.
  • Для резки прямолинейных деталей значение ускорения отходит на второй план — важнее скорость на прямолинейном участке.

Высокое ускорение — это путь к сокращению времени цикла и повышению качества обработки деталей со сложным контуром. Поэтому важно оценивать не только ватты лазера и размер рабочего поля, но и цифру перед G.

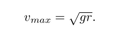
А как ускорение связано с движением по кругу?

Максимальная скорость на круговой траектории

При движении по окружности с постоянной скоростью v и радиусом r на приводы обеспечивают центростремительное ускорение v²/r.

Если ограничено максимальное ускорение по осям (1G), то максимальную скорость можно найти из формулы v²/rg:

Максимальная скорость в зависимости от радиуса окружности при ускорении 1g
Максимальная скорость в зависимости от радиуса окружности при ускорении 1g

В таблице приведен расчёт для ряда диаметров от 1 см до 50 см:

Максимальная скорость движения по кругу
Максимальная скорость движения по кругу

Как видим, на малых радиусах максимально допустимая скорость получается ниже. Ограничение в 1G — это не просто паспортная характеристика: ускорение определяет, с какой максимальной скоростью вы сможете качественно вырезать круг заданного диаметра на станке.

Интересный факт:

Разгон до 100 км/ч за 2.3 секунды (уровень болида Формулы-1) соответствует среднему ускорению 1.23 G.

Подписывайтесь на наш канал и читайте наши подборки о лазерах и технологиях.

Лазерные технологии в ЛАССАРД

Если вы хотите увидеть лазерные технологии в действии, то приезжайте к нам в шоурум! Мы покажем, как лазерные технологии работают на практике в станках для резки, сварки, маркировки, очистки и упрочнения, а также в гибридном станке 4 в 1.

Наши контакты:

📱 Сайт

📱 Интернет-магазин оптико-механических изделий и оптических столов

👥 ВК

📺 RUTUBE

🏭 Наше производство и шоурум: ОЭЗ «Технополис Москва», 109316, Россия, Москва, Волгоградский проспект, д. 42, корп. 5, пом. 1Н

📞 Наш телефон: +7 495 120 68 86

✉️ Наша почта: sales@lassard.ru