Добавить в корзинуПозвонить
Найти в Дзене
anj68

Малобюджетный шариковый ускоритель «Сохранитель-1».

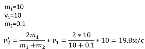
Малобюджетный, поскольку энергию нужно затратить только для разгона первого шара. (Надо патент оформить, вдруг где сработает.) Значит, использован принцип повышения скорости меньшего шара при упругом столкновении (формула из учебника). Берем, например, шар массой 10кг и разгоняем его до 10м/с. Это, собственно и будут наши энергетические затраты. На пути шара кладем шарик с массой в 100 раз меньшей. То есть, массой 0.1кг. После столкновения маленький шарик получает скорость. Далее на пути этого шарика кладем еще один и тоже в 100 раз меньшей массы, чем предыдущий, то есть 0.001кг. Уже этот шарик получит скорость Думаем, принцип уже понятен. Сразу сильно уменьшать массу второго шарика смысла не имеет, поскольку он скорость набирает последовательно через череду столкновений, а не одномоментно. А сразу он наберет скорость не на много большую. Если нам важно, чтоб конечный шарик представлял из себя что-нибудь более солидное, то можно снижать массу последующих шариков менее жестоко. Например

Малобюджетный, поскольку энергию нужно затратить только для разгона первого шара. (Надо патент оформить, вдруг где сработает.)

Значит, использован принцип повышения скорости меньшего шара при упругом столкновении (формула из учебника).

Берем, например, шар массой 10кг и разгоняем его до 10м/с. Это, собственно и будут наши энергетические затраты. На пути шара кладем шарик с массой в 100 раз меньшей. То есть, массой 0.1кг. После столкновения маленький шарик получает скорость.

-2

Далее на пути этого шарика кладем еще один и тоже в 100 раз меньшей массы, чем предыдущий, то есть 0.001кг. Уже этот шарик получит скорость

-3

Думаем, принцип уже понятен.

Сразу сильно уменьшать массу второго шарика смысла не имеет, поскольку он скорость набирает последовательно через череду столкновений, а не одномоментно. А сразу он наберет скорость не на много большую.

-4

Если нам важно, чтоб конечный шарик представлял из себя что-нибудь более солидное, то можно снижать массу последующих шариков менее жестоко. Например, всего в 10 раз.

-5

То есть, в первом случае у нас получилась скорость 39.2 м/с для шарика 0.001кг, а во втором случае, всего 33м/с, но зато для массы 0.1 кг. И все это, заметьте, с одинаковыми начальными затратами.

Практическая значимость:

Например, выстрелив из револьвера пулю 0.005кг, на скорости 500м/с по последовательно лежащим шарикам с уменьшающейся массой (каждый в 10 раз меньше предыдущего), мы сможем разогнать крайний шарик массой 5*10^-8 до скорости спутника.

Если от такого спутника есть какая-то польза.

И если формула в учебнике верна. :)

Наука
7 млн интересуются