Найти в Дзене
Просто Училка. Методичка

Для контроля ситуации: краткий обзор тем по математике 9 класса. 15 неделя школьного обучения

Векторы. Продолжаем чертить, складывать, умножать, раскладывать. В качестве практики сегодня предлагаем заглянуть на пару лет вперёд. Задания из профильного ЕГЭ. Для их решения достаточно материала 9 класса. По окончании изучения раздела Векторы попробуйте их решить. Справились? Материал точно усвоен! Неравенства с одной переменной. Решение неравенств методом интервалов. Конечно, уметь решать неравенства определенных типов и отдельными методами, и методом интервалов - высший пилотаж. Но не уметь пользоваться методом интервалов нельзя! К профильному ЕГЭ даже близко не нужно подходить, пока не разберётесь. Повторение - упрощение выражений со степенями. ❗️Если у вас появились трудные номера по темам поста, пишем сюда. Мы с завучем канала, Галиной Наильевной, постараемся помочь. ❗️Если у вас есть вопросы по другим темам девятого класса, тоже пишите. ❗️Если у вас возникли срочные вопросы по другим классам во внеплановые дни, срочно идите сюда: ❗️В субботу будет продолжать выходить рубрика
Оглавление

9 класс. Геометрия

Векторы. Продолжаем чертить, складывать, умножать, раскладывать. В качестве практики сегодня предлагаем заглянуть на пару лет вперёд. Задания из профильного ЕГЭ. Для их решения достаточно материала 9 класса. По окончании изучения раздела Векторы попробуйте их решить. Справились? Материал точно усвоен!

9 класс. Алгебра

Неравенства с одной переменной. Решение неравенств методом интервалов.

Конечно, уметь решать неравенства определенных типов и отдельными методами, и методом интервалов - высший пилотаж. Но не уметь пользоваться методом интервалов нельзя! К профильному ЕГЭ даже близко не нужно подходить, пока не разберётесь.

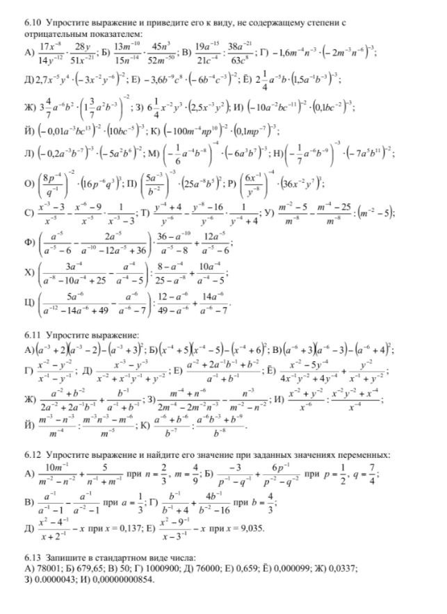
Повторение - упрощение выражений со степенями.

-2
-3
-4

❗️Если у вас появились трудные номера по темам поста, пишем сюда. Мы с завучем канала, Галиной Наильевной, постараемся помочь.

❗️Если у вас есть вопросы по другим темам девятого класса, тоже пишите.

❗️Если у вас возникли срочные вопросы по другим классам во внеплановые дни, срочно идите сюда:

Просто Училка live

❗️В субботу будет продолжать выходить рубрика "Математическая помощь", в которой мы будем коротко освещать математические трудности недели и ждать ваших вопросов💯👍

Поддержать работу канала можно тут👉: Спасибо🙏

-5