Добавить в корзинуПозвонить
Найти в Дзене
anj68

О не сохранении кинетической энергии в классической физике.

Первое, что нужно себе уяснить это то, что фундаментальный закон сохранения энергии в замкнутых системах – это вовсе не классическая физика. Хотя в учебниках столкновения шариков и находятся в разделе классической физики. Классики четко знали, где они взяли формулу энергии – это вариант формулы работы (A=mas). Работы, которую нужно затратить на разгон объекта до определенной скорости. Если строго, то v=√A*2/m, или Лейбницу приходило в голову, что можно передавать энергию (живую силу), но остальные классики были против, поскольку им не приходило в голову передавать то, что уже затрачено. Они считали, что после разгона тела у него остается импульс. И собственно импульс и должен как-то дальше фигурировать. При передаче энергии, например, шарику с меньшей массой, импульс резко увеличивался. Это даже без формулировки, чисто интуитивно - казалось невозможным. И вообще, сам термин «кинетическая энергия» появился только через полтораста лет (У. Томсон). На замкнутых системах, опять же не зам

Первое, что нужно себе уяснить это то, что фундаментальный закон сохранения энергии в замкнутых системах – это вовсе не классическая физика. Хотя в учебниках столкновения шариков и находятся в разделе классической физики.

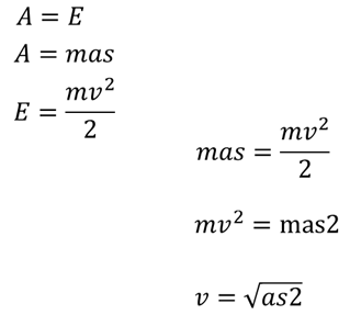
Классики четко знали, где они взяли формулу энергии – это вариант формулы работы (A=mas). Работы, которую нужно затратить на разгон объекта до определенной скорости. Если строго, то v=√A*2/m, или

Лейбницу приходило в голову, что можно передавать энергию (живую силу), но остальные классики были против, поскольку им не приходило в голову передавать то, что уже затрачено. Они считали, что после разгона тела у него остается импульс. И собственно импульс и должен как-то дальше фигурировать. При передаче энергии, например, шарику с меньшей массой, импульс резко увеличивался. Это даже без формулировки, чисто интуитивно - казалось невозможным. И вообще, сам термин «кинетическая энергия» появился только через полтораста лет (У. Томсон). На замкнутых системах, опять же не заморачивались.

Другими словами, после разгона тела и установившегося импульса, про живую силу уже не вспоминали.

То ли дело более поздние ученые. Для начала они изобрели замкнутую систему, в которой на тело не действуют никакие посторонние силы и нарисовали закономерности для столкновений шариков с сохранением энергии в условиях действия сил гравитации.

Кроме того, кинетическая энергия и импульс у них сосуществуют параллельно, а не последовательно. Сейчас на пальцах объясним разницу. Представьте себе, что Вы выполняете работу: замешиваете тесто, формуете, печете. Далее, на выходе у Вас получаются галеты (импульс). Ну, они долго не портятся. А дальше, нормальные люди трескают галеты и про тесто не вспоминают. В лучшем случае, если они галеты в магазине купили, могут состав не упаковке посмотреть (для уменьшения аппетита). Физики же иногда едят тесто (передача энергии), при имеющихся галетах из того же теста. Иногда едят вроде галеты (неупругое столкновение), но тесто из которого были сделаны галеты, наверное, по щекам размазывают, говоря, что оно перешло в другие виды энергии. Вот такие кудесники.

Поэтому, мы сейчас эти столкновения шариков попробуем рассмотреть с точки зрения нормальных людей (классической физики).

1. Есть подозрения, что неупругие столкновения и упругие происходят за счет разных механизмов. И если при неупругих столкновениях как-то меняется масса, то может и перераспределяться импульс. Вернее, импульс один, а масса разная.

И сравнивать неупругие столкновения логичнее не с упругими столкновениями, а с неупругим «разлетом». Это, когда при резкой остановке отрывается часть массы и уносит набранный при движении импульс. Как не закрывай глаза, а такое явление тоже имеет место быть.

2. При упругих столкновениях «передачи» ни импульса, ни тем более энергии как таковых, не происходит. Происходит временное (на время столкновения) действие сил на оба объекта. Вернее, взаимодействие. Третий закон Ньютона и всякое такое. И последующий какой-то разлет.

Мы тут примерный эксперимент провели.

-2

У нас был «передающий» энергию и импульс объект (книжка). С какой-то массой и какой-то скоростью, и неподвижный шарик. Дальше мы могли бы рассчитать скорость шарика, выяснив, что он должен отлетать на большей скорости, чем была у пинающего объекта. Допустим, так оно и было. теперь расширяем эксперимент.

-3

И пинаем сразу несколько шариков. Надо сказать, что стартанули они все с одной скоростью. Подозреваем, что с той с которой их пнули. Дальше, дальность их пробега сильно разнилась. Мы думаем за счет их собственных катильных характеристик. Поскольку, дальше всех укатился самый тяжелый литой резиновый мячик, которому было несколько наплевать на неровности паркета. Но мы не про это. Мы про то, что теперь несколько в затруднении, что собственно сохранять? Сумму энергий всех шариков? Так боимся, что она превысит изначальную энергию книжки.

И еще раз повторим, что скорость всех пнутых шариков была одинаковой. Другими словами, имеющаяся формула скорости пнутого шарика несколько не совсем, как бы не очень, в общем, реальному положению вещей не соответствует.

Можно еще усложнить эксперимент. Взять книжечку потоньше, и пнуть шарик не «в лоб», а «под коленки». Тогда он не то, что не улетит с полученным импульсом, он накатываться на книжку начнет в обратном направлении. Что говорит, скорее, о действии сил в определенном месте и направлении приложенных, чем о передаче какого-то импульса.

-

P/S: Ну и напомним, что при расчете импульса шарика влипающего в стенку, стенке достается двойной импульс, и еще один отраженному шарику. В системе импульс сохраняется только за счет математической разницы. Однако сохраняется тот импульс, который направлен в стенку.

P/S: Нам всегда так нравится, когда в качестве опровержения эксперимента предлагают посчитать. И еще нравится, что в качестве примера все любят приводить бильярд. Где кий, надо сказать, тоже из рук не выпускают, где масса рук тоже больше кия и в сумме – энергия огроменная. Но энергию кия с руками вообще не учитывают при сохранении, как будто ее и не было. Просто говорят, что энергия ниоткуда не берется, она есть всегда и дальше считают только шарики.

Но мы не об этом. При расчете, для каждого шарика получится своя скорость. Причем, чем легче шарик, тем больше его скорость. На практике, если скорость шарика изменяется от нуля до какой-то цифры, это значит, что шарик испытал ускорение. Ускорение он испытывает в пределах скорости пинательного объекта, хоть зарежься.

Итого, все наши шарики получат одинаковое ускорение, а это приводит к получению одной и той же скорости. Факт общеизвестный, хотя бы потому, что при одинаковом ускорении в гравитационном поле при одинаковом пути скорость у всех набирается одна и та же. Но можно и посчитать, если некоторые не верят.

-4

Поэтому ничего удивительного, что в нашем примерном эксперименте все шарики приобрели одинаковую скорость после удара.

Один шарик, приобретет такую же скорость.

Наука
7 млн интересуются