Добавить в корзинуПозвонить
Найти в Дзене
Широков Александр

Школьные задачи / Алгебра / А-106

На рисунке изображён график функции: Он пересекает ось абсцисс в точках (a; 0) и (c; 0). а в точке (0; b) имеет максимум. Выразите значения коэффициентов M, N, K через числа a, b, c. График y(x) имеет вид «кособокой галки». Данное в условии значение y(0) (точка (0; b) ) позволяет сразу найти K: b = M·0 + N·|0| + K ⇔ K = b Благодаря этому выражение функции можно переписать в виде y(x) = M·x + N·|x| + b По условию задачи a < 0, поэтому |a| = –a, а поскольку точка (a; 0) принадлежит графику y(x), то 0 = M·a – N·a + b Аналогично c > 0, значит 0 = M·c + N·c + b Последние два полученных равенства образуют систему из двух уравнений с неизвестными M, N. Для её решения выразим из первого уравнения N: 0 = M·a – N·a + b ⇔ N·a = M·a + b ⇔ N = M + b/a и подставим во второе, чтобы отыскать M: Теперь можно найти само значение N: Таким образом график функции будет проходить через заданные в условии задачи точки, когда сама y(x) имеет вид Другие задания, имеющиеся на канале, можно найти з
Оглавление

Задание

На рисунке изображён график функции:

Он пересекает ось абсцисс в точках (a; 0) и (c; 0). а в точке (0; b) имеет максимум. Выразите значения коэффициентов M, N, K через числа a, b, c.

Решение

График y(x) имеет вид «кособокой галки». Данное в условии значение y(0) (точка (0; b) ) позволяет сразу найти K:

b = M·0 + N·|0| + KK = b

Благодаря этому выражение функции можно переписать в виде

y(x) = M·x + N·|x| + b

По условию задачи a < 0, поэтому |a| = –a, а поскольку точка (a; 0) принадлежит графику y(x), то

0 = M·aN·a + b

Аналогично c > 0, значит

0 = M·c + N·c + b

Последние два полученных равенства образуют систему из двух уравнений с неизвестными M, N. Для её решения выразим из первого уравнения N:

0 = M·aN·a + bN·a = M·a + bN = M + b/a

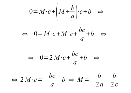
и подставим во второе, чтобы отыскать M:

-2

Теперь можно найти само значение N:

-3

Таким образом график функции будет проходить через заданные в условии задачи точки, когда сама y(x) имеет вид

-4

Ответ

-5

Другие задания, имеющиеся на канале, можно найти здесь:

Школьные задачи | Широков Александр | Дзен

-6

Перечень публикаций на канале
Широков Александр2 декабря 2020

Сведения о новых статьях блога можно найти в Telegram-канале Shuric_Himik