Добавить в корзинуПозвонить
Найти в Дзене
Широков Александр

Школьные задачи / Алгебра / А-105

Задание На рисунке изображён график функции (A, B, C, D – положительные величины): Он представляет собой непрерывную ломаную линию, пересекающую ось абсцисс в точках (–m; 0) и (m; 0). Точки «излома» графика имеют координаты
(–n; k), (n; k) и (0; p), причём последняя является максимумом y(x). Выразите величины коэффициентов A. B, C и D через числа m, n, k, p. Решение Рассмотрим поведение y(x). Эта функция является чётной, так как при замене x на –x её значение не меняется: y(–x) = C – D·|–x| – A·|–x + B| – A·|–x – B| = = C – D·|x| – A·|–(x – B)| – A·|–(x + B)| = = C – D·|x| – A·|x – B| – A·|x + B| = y(x) Из-за симметричности графика y(x) относительно оси ординат удобно рассмотреть её поведение при неотрицательных значениях аргумента, при этом будет x + B > 0 . Тогда |x| = x, а |x + B| = x + B и y(x) будет совпадать с такой функцией: y₁ = C – D·x – A·(x + B) – A·|x – B| В y₁ (а равно и в y(x) ) при x = B подмодульное выражение меняет знак. Раскроем сам модуль, рассмотрев два случая, ког
Оглавление

Задание

На рисунке изображён график функции (A, B, C, D – положительные величины):

Он представляет собой непрерывную ломаную линию, пересекающую ось абсцисс в точках (–m; 0) и (m; 0). Точки «излома» графика имеют координаты
(–
n; k), (n; k) и (0; p), причём последняя является максимумом y(x). Выразите величины коэффициентов A. B, C и D через числа m, n, k, p.

Решение

Рассмотрим поведение y(x). Эта функция является чётной, так как при замене x на –x её значение не меняется:

y(–x) = CD·|–x| – A·|–x + B| – A·|–xB| =

= CD·|x| – A·|–(xB)| – A·|–(x + B)| =

= CD·|x| – A·|xB| – A·|x + B| = y(x)

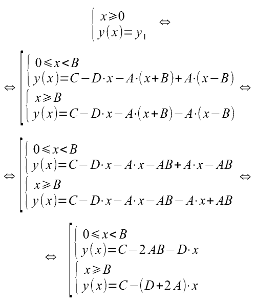
Из-за симметричности графика y(x) относительно оси ординат удобно рассмотреть её поведение при неотрицательных значениях аргумента, при этом будет x + B > 0 . Тогда |x| = x, а |x + B| = x + B и y(x) будет совпадать с такой функцией:

y₁ = C D·x A·(x + B) – A·|x B|

В y₁ (а равно и в y(x) ) при x = B подмодульное выражение меняет знак. Раскроем сам модуль, рассмотрев два случая, когда x∈[0; B) и когда x∈[B; +∞):

-2

Итак, когда 0 ⩽ x < B функция y(x) совпадает с линейной функцией y₂ = C – 2AB D·x. В случае, если x B, то y(x) совпадает с y₃ = C – (D + 2Ax. Заметим также, что y₂(B) = y₃(B). Подставим координаты точек (0; p) и (n; k) в выражение для y₂:

(1): p = C – 2AB D·0 = C – 2AB

(2): k = C – 2AB D·n

Теперь подставим координаты точек (n; k) и (m; 0) в выражение для y₃:

(3): k = C – (D + 2An

(4): 0 = C – (D + 2Am

Равенства (1)-(4) образуют систему из четырёх уравнений с четырьмя неизвестными A, B, C, D – решим её.

Вычтем из (1) уравнение (2) и найдём D:

p k = C – 2AB – (C – 2AB D·n) ⇔

p k= C – 2AB C + 2AB + D·np k= D·nD = (pk)/n

Теперь вычтем из (3) уравнение (4), благодаря чему станет возможным найти A:

k = C – (D + 2An C + (D + 2Amk = –(D + 2An + (D + 2Am

k = (D + 2A)·(m n) ⇔

-3

Из (4) теперь можно выразить C:

C = (D + 2Am =

-4

а из (1) – B:

-5

Таким образом график функции будет проходить через заданные в условии задачи точки, когда её выражение имеет вид

-6

Ответ

-7

Другие задания, имеющиеся на канале, можно найти здесь:

Школьные задачи | Широков Александр | Дзен

-8

Перечень публикаций на канале
Широков Александр2 декабря 2020

Сведения о новых статьях блога можно найти в Telegram-канале Shuric_Himik