Добавить в корзинуПозвонить
Найти в Дзене

Решаю систему уравнений. Задание 20 ОГЭ

Решите систему уравнений {(х-4)(у-7)=0, у-5/х+у-9=2. Точнее задание выглядит так 👇 Напомню, решить систему уравнений - значит найти такие значения переменных, при подстановке которых в уравнения получаются верные равенства. Решение. Рассмотрим первое уравнение системы (х-4)•(у-7)=0. В левой части мы видим произведение двух множителей, в правой - ноль. Вспоминаем правило: произведение двух множителей равно нулю тогда и только тогда, когда хотя бы один из множителей равен нулю. В нашем случае (х-4)(у-7)=0, если: 1) х-4=0 или 2) у-7 =0. Рассмотрим первый случай, когда х-4=0 или х=4. Подставим в систему уравнений 4 вместо х и найдем у👇 Решим первое уравнение 0•(у-7)=0. Оно верно при любом у. Ответ: у - любое число. Решим второе уравнение. Нет таких значений у, при которых равенство обращалось бы в верное. Ответ: значение у найти нельзя. Вывод. При х=4 система решений не имеет. Рассмотрим второй случай, когда у-7=0 или у=7. Подставим в оба уравнения системы вместо у число 7 и

Решите систему уравнений

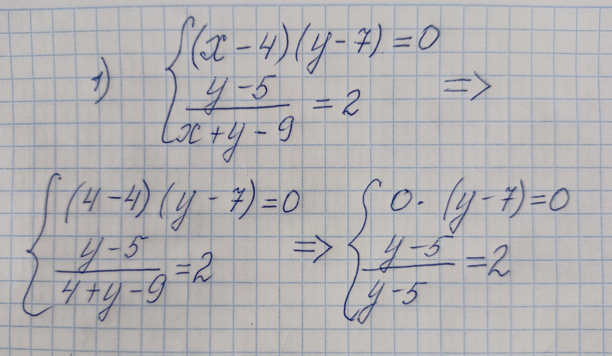
{(х-4)(у-7)=0, у-5/х+у-9=2.

Точнее задание выглядит так 👇

Напомню, решить систему уравнений - значит найти такие значения переменных, при подстановке которых в уравнения получаются верные равенства.

Решение. Рассмотрим первое уравнение системы (х-4)•(у-7)=0.

В левой части мы видим произведение двух множителей, в правой - ноль.

Вспоминаем правило: произведение двух множителей равно нулю тогда и только тогда, когда хотя бы один из множителей равен нулю.

В нашем случае

(х-4)(у-7)=0, если:

1) х-4=0

или

2) у-7 =0.

Рассмотрим первый случай, когда х-4=0 или х=4.

Подставим в систему уравнений 4 вместо х и найдем у👇

Решим первое уравнение  0•(у-7)=0. Оно верно при любом у. Ответ: у - любое число.
Решим первое уравнение 0•(у-7)=0. Оно верно при любом у. Ответ: у - любое число.

Решим второе уравнение.

Нет таких значений у, при которых равенство обращалось бы в верное. Ответ:  значение у  найти нельзя.
Нет таких значений у, при которых равенство обращалось бы в верное. Ответ: значение у найти нельзя.

Вывод. При х=4 система решений не имеет.

Рассмотрим второй случай, когда у-7=0 или у=7.

Подставим в оба уравнения системы вместо у число 7 и найдем х 👇

Решим первое уравнение  (х-4)•0=0. Оно верно при любом х.   Ответ: х- любое число
Решим первое уравнение (х-4)•0=0. Оно верно при любом х. Ответ: х- любое число

Решим второе уравнение системы.

Ответ: х=3.
Ответ: х=3.

Предположение: при х=3 и у=7 система имеет решение.

Проверим. Подставим пару чисел (3;7) в систему 👇

При  подстановке значений в уравнения получаются верный равенства.
При подстановке значений в уравнения получаются верный равенства.

Ответ: пара чисел (3;7) является решением системы.

В общем виде это выглядит так:

-7

Это задание не совсем простое.

Во-первых, нужно помнить, что на нуль делить нельзя, поэтому при решении уравнений на знаменатель накладываем ограничения.

Во-вторых, нужно знать, что произведение равно нулю тогда и только тогда, когда хотя бы один из множителей равен нулю.

В-третьих, если нашли решения системы, необходимо обязательно сделать проверку, чтобы убедиться, что корни найдены правильно.

Задание было отсюда 👇

В следующий раз покажу задание 21 из этого списка.
В следующий раз покажу задание 21 из этого списка.
Дорогие читатели !

Спасибо за подписку, лайки и комментарии.

Автору приятно, если его работа оценена.

Девятиклассникам желаю успешной сдачи экзаменов в 2026 году.

Мой канал вам в помощь.

У меня есть подборка в шапке канала. Она называется "Подготовка к ОГЭ". Там 34 публикации. Оставляю ссылку

ОГЭ математика | Острые углы семейного круга | Дзен

Подписывайтесь на канал, кто ещё не подписался.

До скорой встречи.

Всем подписчикам 👇

-9

С вами автор Любовь.