Добавить в корзинуПозвонить
Найти в Дзене
Широков Александр

Школьные задачи / Алгебра / А-104

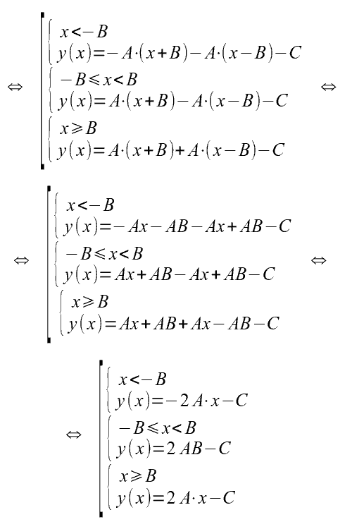
Задание На рисунке изображён график функции (A, B, C – положительные величины): Он пересекает ось абсцисс в точках (–m; 0) и (m; 0), а на отрезке значений аргумента [–n; n] параллелен оси абсцисс – там y(x) имеет постоянное значение, равное k. Выразите величины коэффициентов A, B и C через числа m, n, k. Решение Рассмотрим поведение y(x). Эта функция является чётной, так как при замене x на –x её значение не меняется: y(–x) = A·|–x + B| + A·|–x – B| – C = A·|–(x – B)| + A·|–(x + B)| – C = = A·|–(x – B)| + A·|–(x + B)| – C = A·|x – B| + A·|x + B| – C = y(x) Одно подмодульное выражение в y(x)меняет знак при x = –B, а другое – при x = B. В связи с этим раскроем модули, рассмотрев три числовых промежутка значений аргумента: (–∞; –B), [–B; B), [B; +∞). Имеем: y(x) = A·|x + B| + A·|x – B| – C ⇔ Полученные результаты согласуются с видом графика y(x), приведённом в условии задачи, и объясняют почему он имеет вид «тупоносой галки»: при x < –B функция совпадает с линейной функцией y = –2A·x
Оглавление

Задание

На рисунке изображён график функции (A, B, C – положительные величины):

Он пересекает ось абсцисс в точках (–m; 0) и (m; 0), а на отрезке значений аргумента [–n; n] параллелен оси абсцисс – там y(x) имеет постоянное значение, равное k. Выразите величины коэффициентов A, B и C через числа m, n, k.

Решение

Рассмотрим поведение y(x). Эта функция является чётной, так как при замене x на –x её значение не меняется:

y(–x) = A·|–x + B| + A·|–x B| – C = A·|–(x B)| + A·|–(x + B)| – C =

= A·|–(x B)| + A·|–(x + B)| – C = A·|x B| + A·|x + B| – C = y(x)

Одно подмодульное выражение в y(x)меняет знак при x = –B, а другое – при x = B. В связи с этим раскроем модули, рассмотрев три числовых промежутка значений аргумента: (–∞; –B), [–B; B), [B; +∞). Имеем:

y(x) = A·|x + B| + A·|x B| – C

-2

Полученные результаты согласуются с видом графика y(x), приведённом в условии задачи, и объясняют почему он имеет вид «тупоносой галки»: при x < –B функция совпадает с линейной функцией y = –2A·xC , а при x > B – c y = 2A·xC , кроме этого при x ∈ [–B; B] она постоянна. Из этого напрямую следует, что B = n, для нахождения A и С подставим координаты точек (n; k) и (m; 0) в выражение y = 2A·xC и получим систему из двух уравнений:

(1): k = 2A·nC

(2): 0 = 2A·mC

Из второго уравнения получается, что C = 2A·m . Подставляем его в первое уравнение и находим A:

k = 2A·n – 2A·mk = 2A·(nm) ⇔

-3

Отсюда

-4

Таким образом график функции будет проходить через заданные в условии задачи точки, когда её выражение имеет вид

-5

Ответ

-6

Другие задания, имеющиеся на канале, можно найти здесь:

Школьные задачи | Широков Александр | Дзен

-7

Перечень публикаций на канале
Широков Александр2 декабря 2020

Сведения о новых статьях блога можно найти в Telegram-канале Shuric_Himik