Добавить в корзинуПозвонить
Найти в Дзене
Широков Александр

Школьные задачи / Алгебра / А-102

Докажите, что для любого действительного x выполняется тождество: Для доказательства полезно заметить, что замена x на –x не влияет на вид тождества: Это означает, что если тождество верно при x = a, где a – положительное число, то оно также будет верно и при x = –a. В связи с этим достаточно показать справедливость тождества при x ⩾ 0. В этом случае |x| = x и равенство немного упростится: При неотрицательных x оба подмодульных выражения (x² – 1) и (x – 1) меняют знак при x = 1, поэтому рассмотрим два случая. а) 0 ⩽ x < 1 : ⇔ x² – 1 = (x – 1 + 1)² – 1 ⇔ x² – 1 = x² – 1 ⇔ 0 = 0 Последняя полученная запись означает верность тождества при x ∈[0; 1). б) x ⩾ 1 : ⇔ 0 = (0 + 1)² – 1 ⇔ 0 = 0 Полученные результаты означают верность тождества при x ∈ [0; +∞), из чего вытекает его справедливость при любом неотрицательном x, а из этого, в свою очередь, следует, что оно верно для любых действительных чисел. q.e.d. Другие задания, имеющиеся на канале, можно найти здесь: Сведения о
Оглавление

Задание

Докажите, что для любого действительного x выполняется тождество:

Решение

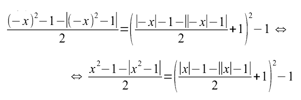
Для доказательства полезно заметить, что замена x на –x не влияет на вид тождества:

-2

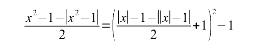
Это означает, что если тождество верно при x = a, где a – положительное число, то оно также будет верно и при x = –a. В связи с этим достаточно показать справедливость тождества при x ⩾ 0. В этом случае |x| = x и равенство немного упростится:

-3

При неотрицательных x оба подмодульных выражения (x² – 1) и (x – 1) меняют знак при x = 1, поэтому рассмотрим два случая.

а) 0 ⩽ x < 1 :

-4

x² – 1 = (x – 1 + 1)² – 1 ⇔ x² – 1 = x² – 1 ⇔ 0 = 0

Последняя полученная запись означает верность тождества при x ∈[0; 1).

б) x ⩾ 1 :

-5

⇔ 0 = (0 + 1)² – 1 ⇔ 0 = 0

Полученные результаты означают верность тождества при x ∈ [0; +∞), из чего вытекает его справедливость при любом неотрицательном x, а из этого, в свою очередь, следует, что оно верно для любых действительных чисел.

q.e.d.

Другие задания, имеющиеся на канале, можно найти здесь:

Школьные задачи | Широков Александр | Дзен

-6

Перечень публикаций на канале
Широков Александр2 декабря 2020

Сведения о новых статьях блога можно найти в Telegram-канале Shuric_Himik