Добавить в корзинуПозвонить
Найти в Дзене

Почему соли Шюсслера не восполняют дефициты?

С солями Шюсслера я работаю давно, а на курсе «Минеральный баланс» даю рекомендации по их использованию. Некоторое время назад в чате возник вопрос: почему соли Шюсслера не восполняют дефициты? А как они работают? Об этом и поговорим. Действительно, это было бы так просто – купил баночку с солями Шюсслера за 299 рублей, что меньше 4 долларов, пьешь и не надо никаких БАДов. Было бы классно, если бы гомеопатия решала все проблемы. Однако, соли Шюсслера не компенсируют дефициты. Гомеопат Шюсслер, живший в 19 веке, исследовал пепел, оставшийся после сгорания мертвых тел. Он находил компоненты, которые были частью живого организма. Шюсслер предположил, что эти вещества имеют важное значение для здоровья, и что от баланса этих элементов многое зависит. В те времена гомеопатия развивалась на принципах алхимии, поэтому эти компоненты золы назывались солями. Шюсслер обнаружил 12 основных солей, и понял, что их использование дает результат. Однако, конечно, никто не применял эти соли в чистом в
Оглавление

С солями Шюсслера я работаю давно, а на курсе «Минеральный баланс» даю рекомендации по их использованию. Некоторое время назад в чате возник вопрос: почему соли Шюсслера не восполняют дефициты? А как они работают? Об этом и поговорим.

Как были открыты соли Шюсслера?

Действительно, это было бы так просто – купил баночку с солями Шюсслера за 299 рублей, что меньше 4 долларов, пьешь и не надо никаких БАДов. Было бы классно, если бы гомеопатия решала все проблемы. Однако, соли Шюсслера не компенсируют дефициты.

Гомеопат Шюсслер, живший в 19 веке, исследовал пепел, оставшийся после сгорания мертвых тел. Он находил компоненты, которые были частью живого организма. Шюсслер предположил, что эти вещества имеют важное значение для здоровья, и что от баланса этих элементов многое зависит.

В те времена гомеопатия развивалась на принципах алхимии, поэтому эти компоненты золы назывались солями. Шюсслер обнаружил 12 основных солей, и понял, что их использование дает результат. Однако, конечно, никто не применял эти соли в чистом виде, гомеопаты делали и делают тритурации, длительно растирая в ступках соли с глюкозой или лактозой в соотношении 1 к 9. Причем после растирания берется одна часть получившегося вещества и еще 9 частей глюкозы или лактозы и снова растирается. И так много раз, в зависимости от необходимой потенции. Надпись на баночке «D6» или «D12» – это как раз указание на потенцию препарата.

Что такое соли Шюсслера?

Информация про потенцирование важна для того, чтобы понять, почему солями Шюсслера невозможно ничего компенсировать. В баночке с порошком или таблетками, относящимися к солям Шюсслера, действительно есть вещество, но в крайне малом объеме. А мы помним, что в гомеопатических шариках вещества нет – там только информация о нем.

Соль Шюсслера – это не биологически активная добавка, призванная обогащать рацион и восполнять дефициты. Соли Шюсслера являются методом тонкой настройки, они не корректируют дефициты.

Сколько вещества в соли Шюсслера?

Приведу простой пример. Чистого ионного кальция без соединений, без сульфатов, без фосфатов, без ещё чего-либо в организме человека примерно от килограмма до полутора, в зависимости от того, какой у вас скелет, питание и особенности соединительной ткани. Кальций в основном представляет собой неорганическую часть скелета.

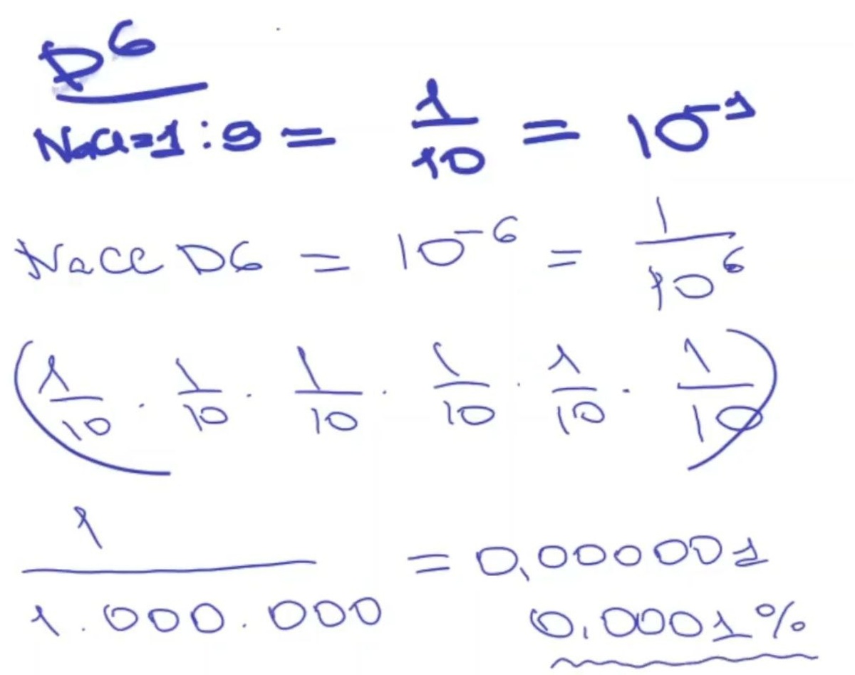
Давайте возьмём худенькую тоненькую девушку или маленького ребёнка и предположим, что в организме 1 килограмм кальция. Рассмотрим препарат D6, когда первый раз берётся одна часть соли к девяти частям лактозы или глюкозы. И вещество у нас здесь будет в концентрации десять в минус шестой степени, потому что мы шесть раз делаем 1/10. Получается одна миллионная доля вещества. Если я напишу в процентах, умножу это на 100, то получится одна десятитысячная процента.

-2

А если мы возьмём какую-нибудь соль, которая имеет потенцию D12, то у нас получится десять в минус двенадцатой степени, что значительно меньше, здесь в миллион раз меньше вещества. Это уже цифра на пределах числа авогардо, когда на одну порцию приходится одна молекула. Это очень важная штука, потому что это работа со сверхмалыми дозировками. Кстати, по сверхмалым дозировкам существует целый ряд исследований. У нас есть специальная лаборатория, которая занималась разработкой лекарственных препаратов в сверхмалых дозировках, которая доказала, что в сверхмалых дозировках вещества имеют определённое биологическое регуляторное действие. И действие это не направлено на компенсацию чего-либо, это тонкое регулирующее действие, которое вызывает, какие-то биологические эффекты.

То есть можно взять одну молекулу на ложку вещества, и эта молекула на ложке вещества как раз и будет именно в такой концентрации выполнять тонкое регуляторное действие.

В баночке 10 грамм. Мы берём с вами 10 гр. и умножаем на 10 в минус шестой степени. Получаем 10 микрограмм вещества на баночку. И это целый курс лечения. Вообще курс рассчитан на время от 3 недель до нескольких месяцев, но можно и полгода есть эту соль. А баночка – это всего 10 микрограмм вещества.

Кальций фосфорикум имеет формулу Ca5(PO4)3OH, его молекулярная масса соединения 502 Дальтона, и именно кальция здесь 200 Дальтон. Соответственно, 2/5, или 40% от этого соединения принадлежат кальцию. И здесь у нас 10 мкг на всю баночку. Из них 4 мкг кальция, в граммах это 4 на 10 в минус шестой.

Часто 1 доза составляет одну ложку соли Шюсслера, или одну таблетку, если соль в таблетках. И в данном случае мы имеем именно вот такое биохимическое регуляторное воздействие.

Нас интересует не информация, не безвещественный носитель, как в гомеопатии, а нас интересует наличие вещества, потенцированного и биологически активного. Но его здесь очень малое количество. Даже если вы при остром состоянии принимаете соль каждые 15 минут, вам хватит баночки на 3 дня всего, но вы все равно получите только эти 4 мкг кальция.

Какова суточная потребность в кальции?

Если мы возьмём кальций, то минимальная суточная потребность (RDA) – 1000 мг.

Рекомендованные суточные нормы, которые вы можете найти на баночках с БАДами и в инструкциях, называются RDA (Recommended Diеtary Allowance). Это минимальная суточная потребность, которая подразумевает дозировку для предотвращения тяжелых патологий. Например, для витамина С рекомендованная доза рассчитана на предотвращение цинги. Если мы говорим про кальций, то это предотвращение рахита у детей первых лет жизни. Эти дозировки не компенсируют реальные дефициты и даже ежедневные потребности организма! RDA – это не то количество минералов и витаминов, которое обеспечит ваш организм всем необходимым в полном объеме.

-3

Суточная потребность в кальции исчисляется в миллиграммах. 1 мг – это 1000 мкг тех самых, которые мы использовали в наших подсчётах по солям Шюсслера. 1 мг – это 1/1000 грамма. 10 в минус третьей степени – это 1 мг. А в день, всего за один день, нам нужно съесть 1000 мг, чтобы не было проблем с опорно-двигательным аппаратом, с сердцем, судорогами мышц и пр. Подросткам нужно еще больше – 1300 мг, потому что они растут, у них кости растут, и масса неорганического матрикса должна увеличиваться интенсивно, так как она закладывается на всю жизнь.

Если суточная потребность у ребёнка 1000 мг кальция, то это в 250000 раз больше, чем содержится вещества в этой баночке с солью Шюсслера. Кальций – это макроэлемент. И его хотя бы килограмм должен накопиться в скелете, чтобы вы могли ходить и передвигаться, и у вас кости не ломались, чтобы вы могли жить, чтобы вам хватило кальция на условия взрослой жизни, чтобы вам хватило кальция на сердцебиение, на ритм дыхания, на работу диафрагмы, на ходьбу хотя бы с запасом лет на 10-15, если вы вообще его не будете забирать из вашего же скелета.

Как работают соли Шюсслера?

Если бы я предполагала, как работает, та или иная соль Шюсслера, я бы сказала, что основная работа заключается в поляризации белков, потому что все белки, которые обеспечивают минеральный баланс, зависят от тех или иных минералов, то есть от таблицы Менделеева. А элементы таблицы не путешествуют в организме сами по себе. Тот же цинк, кальций или магний являются неотъемлемой частью какого-то белка. На мой взгляд, соли Шюсслера усиливают поляризацию белков, которые связаны с тем или иным веществом, с тем или иным соединением и, как следствие, они усиливают аффинитивность белков к тому или иному соединению.

-4

Итак, соли Шюсслера не компенсируют дефициты, а регулируют процессы. Поэтому если вы хотите восполнить дефициты, кормите тело, дайте ему столько кальция, сколько необходимо на текущие потребности и на восполнение тех самых дефицитов. И это доза, которая превышает рекомендованную суточную. А соли Шюсслера будут не быстро, но уверенно помогать телу восстанавливаться.

Соли Шюсслера имеют очень накопительный эффект, они работают тонко, это не то, что у вас завтра вырастут крылья и вы полетите. Но в работе с минеральным балансом мы часто прибегаем к солям Шюсслера, потому что они действительно помогают подкрутить какие-то обмены, чтобы быстрее отрастал натрий, например, или чтобы лучше формировался кальциевый обмен, чтобы лучше укреплялись ткани, лучше заживали, чтобы лучше кормились нервные клетки.