Добавить в корзинуПозвонить
Найти в Дзене
Сеятель

Платежи по ОФЗ в декабре 2025 года

После января - ноября: Минфин опубликовал данные о выплатах по ОФЗ в декабре: В декабре погашений облигаций не будет, но из-за больших купонных выплат, в основном по ОФЗ ПК, общие платежи окажутся существенными: 466 млрд руб , 6-е по размеру в году. График по выплатам с начала года: Общие размеры платежей по ОФЗ в 2025 году составят 4 706 млрд руб.: Удачи и трезвого анализа в ваших инвестициях!!! P.S. Подписывайтесь на мой телеграмм-канал: https://t.me/Cervonets

После января - ноября:

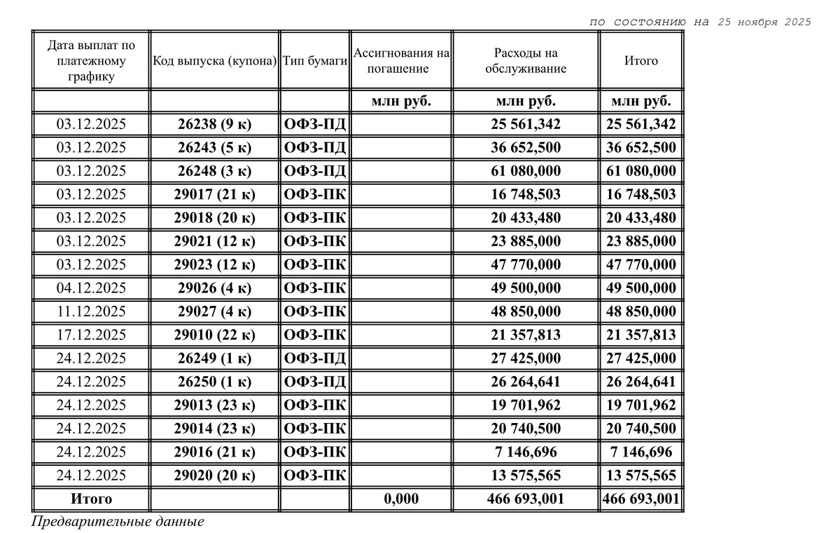
Минфин опубликовал данные о выплатах по ОФЗ в декабре:

В декабре погашений облигаций не будет, но из-за больших купонных выплат, в основном по ОФЗ ПК, общие платежи окажутся существенными: 466 млрд руб , 6-е по размеру в году.

График по выплатам с начала года:

-2

Общие размеры платежей по ОФЗ в 2025 году составят 4 706 млрд руб.:

-3

Удачи и трезвого анализа в ваших инвестициях!!!

P.S. Подписывайтесь на мой телеграмм-канал:

https://t.me/Cervonets