Добавить в корзинуПозвонить
Найти в Дзене
Сеятель

Платежи по ОФЗ в марте 2025 года

После января - февраля: Минфин опубликовал данные о выплатах по ОФЗ в марте 2025 года. В этом месяце выплаты довольно значительные, хотя погашение всего одно, да и то маленького выпуска. Большие суммы выплат выходят из-за купонов по ОФЗ ПК, которые сейчас на рекордных значениях из-за высокой ключевой ставки. График по выплатам с начала года: Удачи и трезвого анализа в ваших инвестициях!!! P.S. Подписывайтесь на мой телеграмм-канал: https://t.me/Cervonets

После января - февраля:

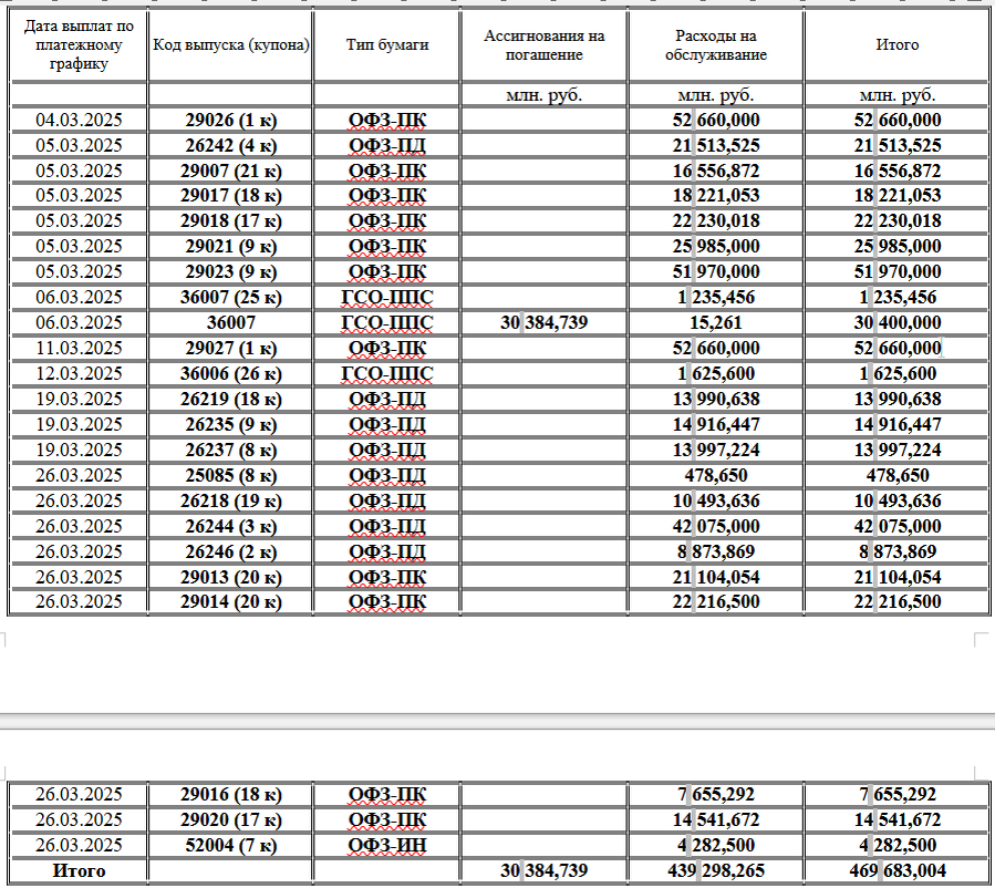
Минфин опубликовал данные о выплатах по ОФЗ в марте 2025 года.

В этом месяце выплаты довольно значительные, хотя погашение всего одно, да и то маленького выпуска. Большие суммы выплат выходят из-за купонов по ОФЗ ПК, которые сейчас на рекордных значениях из-за высокой ключевой ставки.

Выплаты по купонам в марте 2025 года в два раза больше, чем в марте 2024 года.

График по выплатам с начала года:

-2

Удачи и трезвого анализа в ваших инвестициях!!!

P.S. Подписывайтесь на мой телеграмм-канал:

https://t.me/Cervonets