Найти в Дзене
avbukh

Явление синхронизации для двух связанных нейронов

Радиофизики называют синхронизацией не просто совпадение в поведении двух и более динамических систем, а именно подстройку их поведения друг под друга в результате взаимодействия. Гюйгенс в 1665 году показал, что два маятника, слабо связанные через общую опору, самопроизвольно синхронизируют свои колебания. Это фундаментальное явление теперь наблюдается в самых разных областях — от биологии (синхронное мигание светлячков) до электротехники (генераторы переменного тока). Проиллюстрирую такую подстройку на примере двух взаимосвязанных нейронов ФитцХью-Нагумо. Нейрон ФитцХью--Наугмо представляет собой простейшую осцилляторную модель нейрона, которая записывается в следующем виде: В первых двух уравнениях записана модель отдельного нейрона ФитцХью-Нагумо, а в 3 и 4 уравнениях - модель связанных нейронов ФитцХью-Нагумо. В уравнениях 𝜀 – параметр масштаба между быстрой переменной 𝑥 и медленной переменной 𝑦; 𝑎 – параметр возбудимости нейрона. Параметр масштаба 𝜀 должен быть малым по срав

Радиофизики называют синхронизацией не просто совпадение в поведении двух и более динамических систем, а именно подстройку их поведения друг под друга в результате взаимодействия.

Гюйгенс в 1665 году показал, что два маятника, слабо связанные через общую опору, самопроизвольно синхронизируют свои колебания. Это фундаментальное явление теперь наблюдается в самых разных областях — от биологии (синхронное мигание светлячков) до электротехники (генераторы переменного тока).

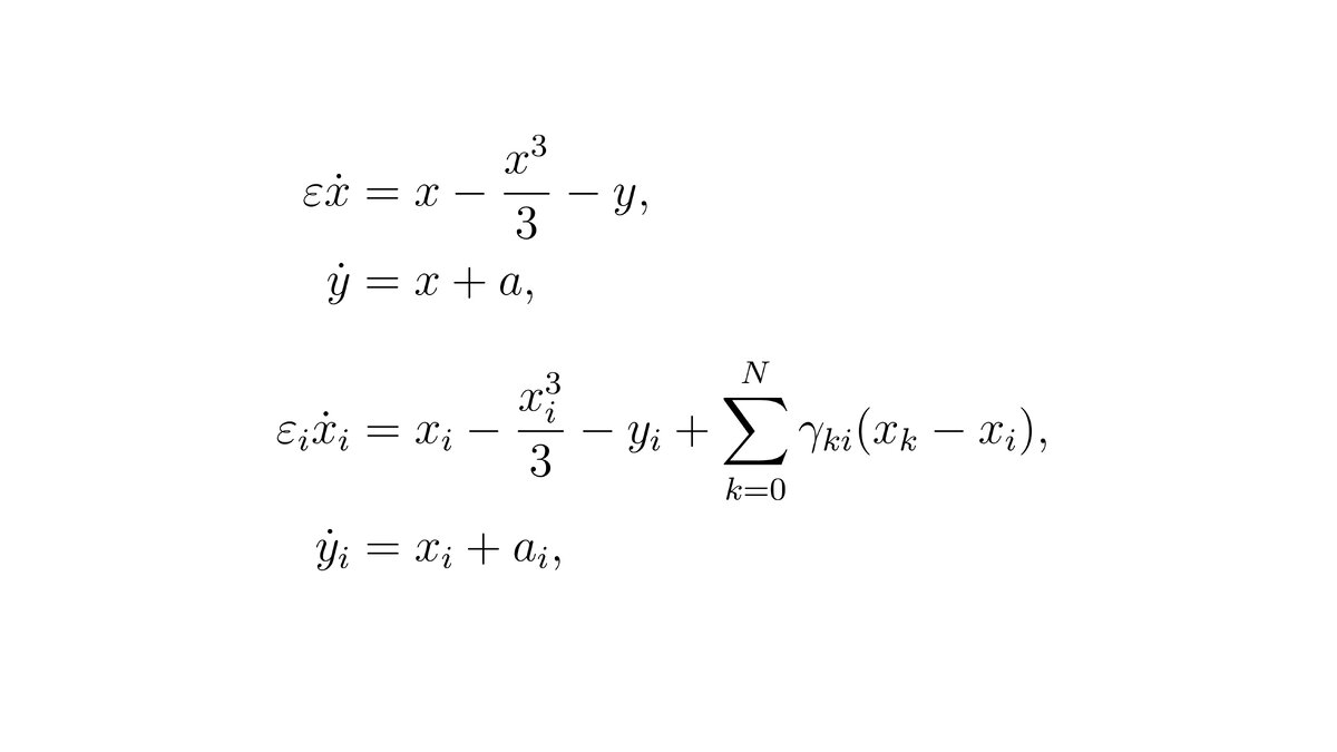
Проиллюстрирую такую подстройку на примере двух взаимосвязанных нейронов ФитцХью-Нагумо. Нейрон ФитцХью--Наугмо представляет собой простейшую осцилляторную модель нейрона, которая записывается в следующем виде:

Модель нейрона ФитцХью-Нагумо (1 и 2 уравнения) и модель связанных нейронов ФитцХью-Нагумо (3 и 4 уравнения).
Модель нейрона ФитцХью-Нагумо (1 и 2 уравнения) и модель связанных нейронов ФитцХью-Нагумо (3 и 4 уравнения).

В первых двух уравнениях записана модель отдельного нейрона ФитцХью-Нагумо, а в 3 и 4 уравнениях - модель связанных нейронов ФитцХью-Нагумо.

В уравнениях 𝜀 – параметр масштаба между быстрой переменной 𝑥 и медленной переменной 𝑦; 𝑎 – параметр возбудимости нейрона. Параметр масштаба 𝜀 должен быть малым по сравнению с единицей, чтобы модель демонстрировала важное для нейронов свойство: наличие быстрых и медленных движений в фазовом пространстве. Параметр возбудимости 𝑎 является бифуркационным. При 𝑎 > 1 нейрон находится в возбудимом режиме и без внешнего воздействия в его фазовом пространстве наблюдается устойчивое состояние равновесия. При уменьшении параметра 𝑎, при достижении значения 𝑎 = 1 происходит бифуркция Андронова-Хопфа, и при 𝑎 < 1 нейрон ФитцХью–Нагумо демонстрирует периодические колебания.

Для связанных нейронов индекс 𝑖 = 1, . . . ,𝑁 задает номер нейрона в кольце из 𝑁 нейронов, индекс 𝑘 используется для определения входящих связей 𝛾𝑘𝑖 , влияющих на данный нейрон 𝑖 со стороны нейронов 𝑘. Разность (𝑥𝑘 − 𝑥𝑖 ) определяет дифференциальную связь, моделирующую электрическую связь между нейронами. Это слагаемое равно нулю, если переменные 𝑥𝑘 и 𝑥𝑖 одинаковы. Если же переменные 𝑥𝑘 и 𝑥𝑖 различаются, то значение переменной 𝑥𝑖 изменяется в сторону значения 𝑥𝑘 под действием связи.

Рассмотрим два связанных нейрона N=2 с симметричной связью между ними 𝛾=𝛾𝑘𝑖. Параметр 𝜀=0.001, a=0.9 (колебательный режим). При таких условиях в отсутствии связи (𝛾=0) каждый нейрон демонстрирует автоколебания. Если начальные условия задать нейронам случайно, то фазы их колебаний будут различаться, хотя амплитуда и частота колебаний будут совпадать (нейроны идентичны, a=ai, 𝜀=𝜀i).

В отсутствии связи (𝛾=0) каждый нейрон демонстрирует автоколебания, фазы колебаний различаются.
В отсутствии связи (𝛾=0) каждый нейрон демонстрирует автоколебания, фазы колебаний различаются.

Дальше будем каждые 20 единиц времени увеличивать силу связи 𝛾 на 0.001 и наблюдать.

При 𝛾=0.048 фазы колебаний нейронов стали ближе друг ко другу.
При 𝛾=0.048 фазы колебаний нейронов стали ближе друг ко другу.

Постепенно фазы колебаний сближаются, пока не совпадуд полностью.

При 𝛾=0.074 фазы колебаний уже стали совпадать и дальнейшее увеличение параметра 𝛾 только поддерживает это состояние синхронизации.
При 𝛾=0.074 фазы колебаний уже стали совпадать и дальнейшее увеличение параметра 𝛾 только поддерживает это состояние синхронизации.

Для вычислений написал программу на Си, которая интегрирует модель методом Рунге-Кутта 4 порядка с фиксированным шагом интегрирования h=0.0001 (должен быть меньше параметра 𝜀 для сходимости метода).

Явление синхронизации в том состоит, что колебания нейронов подстроились друг под друга. Здесь мы взяли идентичные нейроны ФитцХью-Нагумо и им немудрено синхронизоваться, но и неидентичные автогенераторы могут синхронизовываться. Обычно, чем больше различие в парамтрах автогенераторов, тем большая связь между ними нужна для обеспечения синхронизации.

Наука
7 млн интересуются