Найти в Дзене

Кривая забывания. И что с ней не так

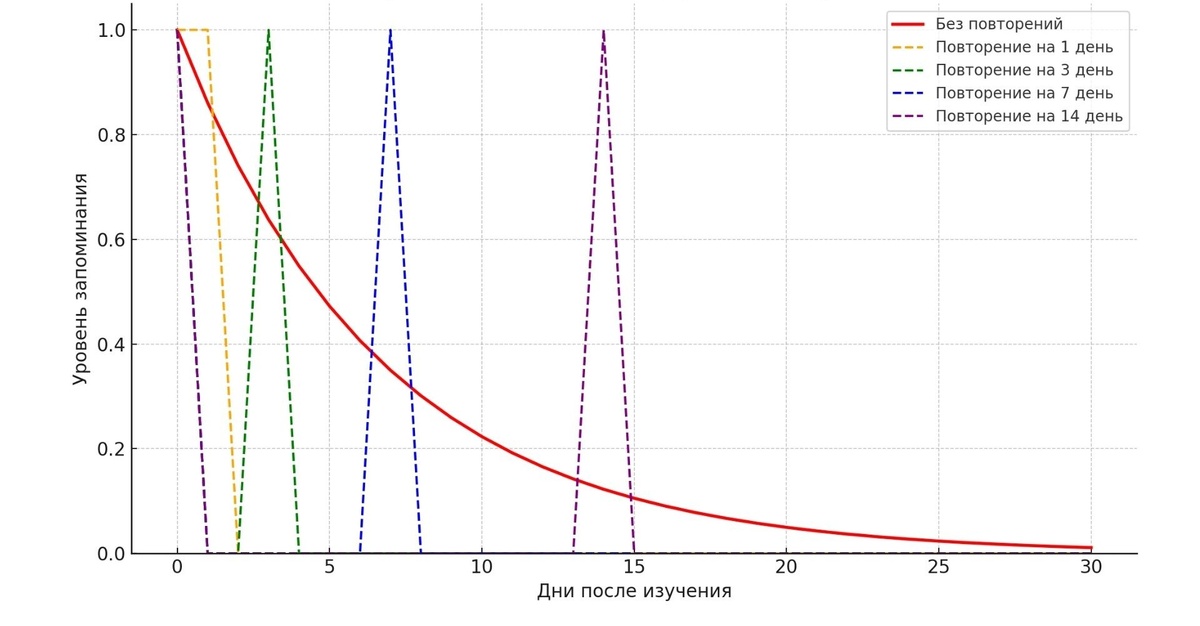
и что с ней не так Кривая забывания Эббингауза показывает, как быстро мы забываем то, что выучили, и с какими интервалами это нужно повторять. Вы наверняка, если не знаете про саму кривую, знаете про интервальное повторение. Оно как раз на этой кривой и основано.
НО
исследования проводились сначала
° по заучиванию последовательностей отдельных ничего не значащих слогов
° а потом по заучиванию стихотворений
Ни то ни другое не сравнимо с комплексным изучением языка. У нас с вами в распоряжении есть ещё ассоциации, система, логика, ...
Правило употребления какого-то грамматического времени не забудется с той же скоростью, что и "ма-ла-гу-си-пы" ッ Даже слова с такой же скоростью не забудутся, если их встречать в текстах/аудированиях и использовать в речи.
ПРИ ЭТОМ
вопросы вызывает именно длина интервалов. А то, что мы всё постепенно забываем, к сожалению, факт. Это мы с вами и без всяких исследований знаем.
Бороться с таким забыванием помогает, например, эффект интервала. Мы его сейчас

и что с ней не так

Кривая забывания Эббингауза показывает, как быстро мы забываем то, что выучили, и с какими интервалами это нужно повторять. Вы наверняка, если не знаете про саму кривую, знаете про интервальное повторение. Оно как раз на этой кривой и основано.

НО
исследования проводились сначала
° по заучиванию последовательностей отдельных ничего не значащих слогов
° а потом по заучиванию стихотворений
Ни то ни другое не сравнимо с комплексным изучением языка. У нас с вами в распоряжении есть ещё ассоциации, система, логика, ...
Правило употребления какого-то грамматического времени не забудется с той же скоростью, что и "ма-ла-гу-си-пы" ッ Даже слова с такой же скоростью не забудутся, если их встречать в текстах/аудированиях и использовать в речи.

ПРИ ЭТОМ
вопросы вызывает именно длина интервалов. А то, что мы всё постепенно забываем, к сожалению, факт. Это мы с вами и без всяких исследований знаем.

Бороться с таким забыванием помогает, например, эффект интервала. Мы его сейчас обсуждаем в рамках
бесплатного предобучения перед курсом об Асинхронном микрообучении. Присоединяйтесь, даже если не планируете проходить курс. У нас всё в формате вопросов-ответов, вместо лекций. По паре минут каждый будний день в течение двух недель. Уже начали. Вот здесь



© Кристина Крючкова |
esl-materials.ru