Добавить в корзинуПозвонить
Найти в Дзене
fit_4_you

Как биатлонист стал легендой: 10 лет наблюдений

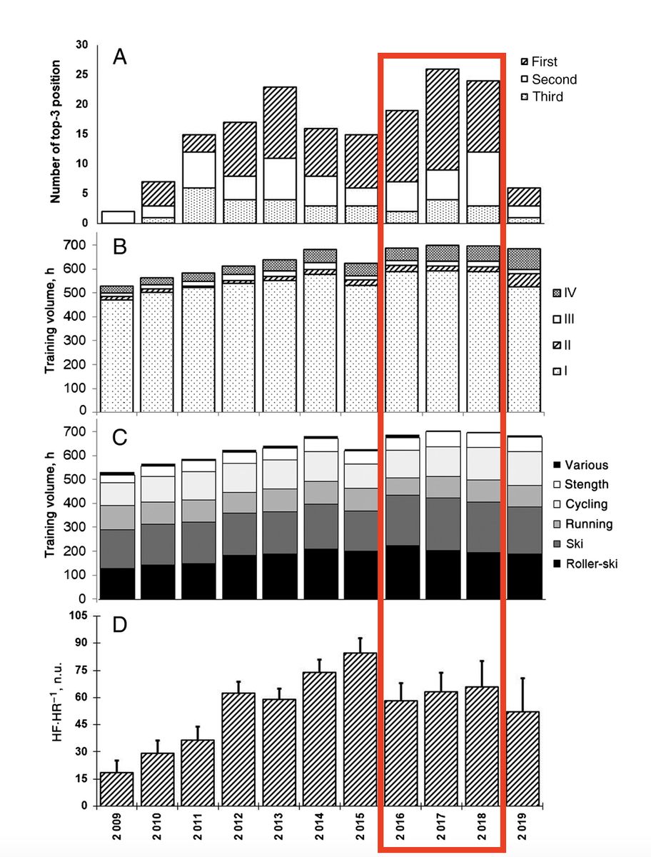
Разбирая хлам в компьютере, я наткнулся на одно исследование, которое до сих пор считаю эталонным. Оно посвящено Мартэну Форкаду — семикратному обладателю Кубка мира и пятикратному олимпийскому чемпиону. С 2009 по 2019 год его тренировки и состояние нервной системы отслеживали в деталях, и это дало науке уникальные данные. Учёные регулярно измеряли вариабельность сердечного ритма (ВСР) как индикатор работы нервной системы, сопоставляли её с объёмом тренировок и распределением по зонам ЧСС и сверяли всё это с результатами на Кубке мира. За 10 лет годовой объём вырос с 530 до ~700 часов. Распределение нагрузки было поляризованным: Лучшие годы (2016–2018, по 24–26 подиумов) совпадали со стабильной высокой парасимпатической активностью (RMSSD, HF). Улучшение результатов было связано с постепенным ростом тренировочного объёма, особенно за счёт низкоинтенсивной работы, и с маркерами парасимпатической активности. Этот случай подтверждает эффективность метода подготовки с преобладанием LIT у э
Разбирая хлам в компьютере, я наткнулся на одно исследование, которое до сих пор считаю эталонным. Оно посвящено Мартэну Форкаду — семикратному обладателю Кубка мира и пятикратному олимпийскому чемпиону. С 2009 по 2019 год его тренировки и состояние нервной системы отслеживали в деталях, и это дало науке уникальные данные.

Учёные регулярно измеряли вариабельность сердечного ритма (ВСР) как индикатор работы нервной системы, сопоставляли её с объёмом тренировок и распределением по зонам ЧСС и сверяли всё это с результатами на Кубке мира.

За 10 лет годовой объём вырос с 530 до ~700 часов. Распределение нагрузки было поляризованным:

  • ~86% низкоинтенсивная работа (LIT),
  • 3–4% средняя зона (MIT),
  • ~4% высокоинтенсивная (HIT),
  • 6–7% силовая/скоростная.

Лучшие годы (2016–2018, по 24–26 подиумов) совпадали со стабильной высокой парасимпатической активностью (RMSSD, HF).

Улучшение результатов было связано с постепенным ростом тренировочного объёма, особенно за счёт низкоинтенсивной работы, и с маркерами парасимпатической активности. Этот случай подтверждает эффективность метода подготовки с преобладанием LIT у элитных спортсмена и важность регулярного мониторинга ВСР.

-2

В 2019 объём остался прежним, но структура изменилась: объем LIT снизился, MIT выросла → ВСР упала → только 6 подиумов.

• LIT упал до 79%,

• MIT вырос до 7.4%,

• силовые — до 10%.

Что произошло дальше:

• RMSSD и HF ВСР снизились,

• ЧСС покоя выросла,

• количество подиумов рухнуло — всего 6 за сезон.

То есть дело не в объёме, а в том, как он был распределён. Потеря акцента на «базе» + рост «середины» → нервная система стала хуже восстанавливаться → форма ушла.

Почему это важно

ВСР оказалась очень надёжным индикатором: пики и падения совпадали с динамикой результатов.

Поляризованная модель (много лёгкой работы в I-II зоне, немного IV и V зоны, минимум III зоны) показала себя как наиболее устойчивая.

Даже у спортсмена топ-уровня с уникальной генетикой всё решала системность.

Практические выводы для спортсмена/тренера

  1. База = фундамент. Лёгкие часы — это не «бессмысленное кручение», а ключ к росту.
  2. Следите за ВСР. Если RMSSD и HF стабильно высокие — организм адаптируется. Если падают — ищи перегруз или перекос в структуре.
  3. Избегайте “середины”. III зона (MIT) полезна, но её избыток забирает силы и не даёт отдачи.
  4. Структура важнее цифры. Просто «набирать часы» не значит стать сильнее. Важно, как именно они распределены.
  5. Стабильность = результат. Лучшие годы Форкада совпали с периодом, когда ВСР держалась ровной, а тренировки были предсказуемыми по структуре.

📌 Для тех, кто хочет подробнее изучить статью: Schmitt et al., 2020 — Eleven Years’ Monitoring of Martin Fourcade