Добавить в корзинуПозвонить
Найти в Дзене
Будни репетитора

Разложение на множители, часть 2: вынесение общего множителя

Что такое общий множитель и в чём суть операции под названием "вынесение общего множителя" мы разобрали в публикации это наиболее простой и распространённый метод разложения на множители. Если в каждом члене многочлена есть общий множитель (числовой, буквенный или их комбинация), его выносят за скобки. Примеры: Обращаем внимание на АЛГОРИТМ вынесения общего множителя: В первых трёх примерах общим множителем было число. Общий множитель может быть и буквенным: В последнем (№6) примере выносится степень с меньшим показателем, к тому же второй множитель можно ещё представить в виде множителей, но это другой способ и мы пока здесь его не применим. Общий множитель может быть комбинацией числового и буквенных множителей или их степеней: Обращаем внимание, что знак умножения между множителем и "скобкой" можно опускать. В примере №8 можно вынести другой общий множитель Общий множитель можно выносить и для более "длинных" многочленов Общим множителем может оказаться не только одночлен, но и мн

Что такое общий множитель и в чём суть операции под названием "вынесение общего множителя" мы разобрали в публикации

Вынесение общего множителя

это наиболее простой и распространённый метод разложения на множители. Если в каждом члене многочлена есть общий множитель (числовой, буквенный или их комбинация), его выносят за скобки.

Примеры:

Обращаем внимание на АЛГОРИТМ вынесения общего множителя:

-2

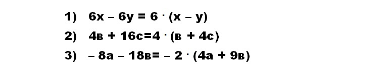
В первых трёх примерах общим множителем было число.

Общий множитель может быть и буквенным:

-3
В последнем (№6) примере выносится степень с меньшим показателем, к тому же второй множитель можно ещё представить в виде множителей, но это другой способ и мы пока здесь его не применим.

Общий множитель может быть комбинацией числового и буквенных множителей или их степеней:

-4

Обращаем внимание, что знак умножения между множителем и "скобкой" можно опускать.

В примере №8 можно вынести другой общий множитель

-5

Общий множитель можно выносить и для более "длинных" многочленов

-6

Общим множителем может оказаться не только одночлен, но и многочлен:

-7
Ещё одно замечание: При сложении слагаемые можно менять местами, а при вычитании при смене мест уменьшаемого и вычитаемого получатся противоположные выражения, т.е. они будут отличаться знаками
-8

Поэтому, если выражения в скобках являются противоположными, то нужно одно из них заменить на "нужное", сменив при этом его знак

-9
В дальнейшем мы ответим на вопрос: для чего нужно разложение на множители

До встречи!