Найти в Дзене
Широков Александр

Школьные задачи / Алгебра / А-95

Построить на координатной плоскости график уравнения tg y ·tg x = 0 Проведём с уравнением равносильные преобразования с учётом того, что тангенс определён не для любого значения аргумента и произведение равно нулю, если хотя бы один множитель равен нулю: Первое выражение в полученном в итоге объединении (y= πk) описывает серию равенств ... ; y = –2π; y = –π ; y = 0 ; y = π ; y = 2π; ... На координатной плоскости это можно изобразить как бесконечную череду горизонтальных линий, расположенных на расстоянии π друг от друга. Второе уравнение объединения описывает другую серию: ... ; x = –2π; x = –π ; x = 0 ; x = π ; x = 2π; ... и графически может быть представлен как серия вертикальных линий, где расстояние между соседними составляет π. Совокупность описанных прямых образует на плоскости бесконечную квадратную «сетку», являющуюся к тому же графиком уравнения
sin y ·sin x= 0 (рис. 1). Рассмотрим теперь первое и второе выражения в итоговой системе: y ≠ π/2 + πk и x ≠ π/2 + πk Они описыв
Оглавление

Задание

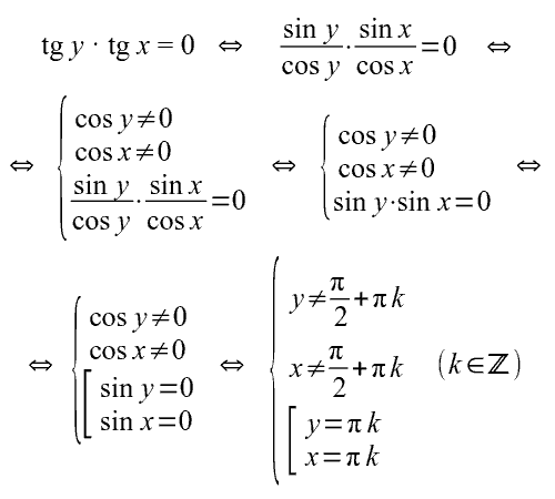
Построить на координатной плоскости график уравнения

tg y ·tg x = 0

Решение

Проведём с уравнением равносильные преобразования с учётом того, что тангенс определён не для любого значения аргумента и произведение равно нулю, если хотя бы один множитель равен нулю:

Первое выражение в полученном в итоге объединении (y= πk) описывает серию равенств

... ; y = –2π; y = –π ; y = 0 ; y = π ; y = 2π; ...

На координатной плоскости это можно изобразить как бесконечную череду горизонтальных линий, расположенных на расстоянии π друг от друга. Второе уравнение объединения описывает другую серию:

... ; x = –2π; x = –π ; x = 0 ; x = π ; x = 2π; ...

и графически может быть представлен как серия вертикальных линий, где расстояние между соседними составляет π.

Совокупность описанных прямых образует на плоскости бесконечную квадратную «сетку», являющуюся к тому же графиком уравнения
sin
y ·sin x= 0 (рис. 1).

Рис. 1.
Рис. 1.

Рассмотрим теперь первое и второе выражения в итоговой системе:

y ≠ π/2 + πk и x ≠ π/2 + πk

Они описывают множества значений, которые не могут принимать y и x в исходном уравнении (cos y≠ 0 и cos x≠ 0). Графически это можно изобразить как две бесконечные череды горизонтальных и вертикальных линий, расположенных на расстоянии π друг от друга (рис. 2).

Рис. 2.
Рис. 2.

Для завершения построения необходимо на графике sin y ·sin x = 0 «выколоть» точки его пересечений с линиями, соответствующими требованиям cos x ≠ 0 и cos y ≠ 0 (рис. 3).

Рис. 3.
Рис. 3.

Ответ

-5

Другие задания, имеющиеся на канале, можно найти здесь:

Школьные задачи | Широков Александр | Дзен

-6

Перечень публикаций на канале
Широков Александр2 декабря 2020

Сведения о новых статьях блога выкладываются в Telegram: Shuric_Himik