Добавить в корзинуПозвонить
Найти в Дзене
Широков Александр

Школьные задачи / Алгебра / А-93

Построить на координатной плоскости график уравнения [y]·[x] = 0 (под целой частью числа t понимается наибольшее целое число, не превышающее заданное; её принято обозначать при помощи квадратных скобок: [t]; функция f(t) = [t] определена на всём множестве действительных чисел). Рассмотрим сначала уравнение следующего вида: [t] = k, где k – целое число. Корни такого уравнения на числовой оси образуют полуинтервал (см. также задание А-30): k ⩽ t < k + 1 Поскольку произведение равно нулю, если хотя бы один из множителей равен нулю, то На плоскости множество точек, координаты которых удовлетворяют условию y∈[0; 1) представляет область в виде горизонтально направленной полосы, причём нижний её край (y = 0) будет входить в область, а верхний – нет, потому что вторая часть двойного неравенство y < m + 1 является строгой (рис. 1). Аналогично, точки с координатами соответствующими требованию x ∈ [0; 1), на плоскости образуют вертикальную полосу, «левая» граница которой входит в её область, а п
Оглавление

Задание

Построить на координатной плоскости график уравнения

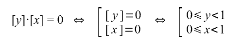
[y]·[x] = 0

(под целой частью числа t понимается наибольшее целое число, не превышающее заданное; её принято обозначать при помощи квадратных скобок: [t]; функция f(t) = [t] определена на всём множестве действительных чисел).

Решение

Рассмотрим сначала уравнение следующего вида:

[t] = k,

где k – целое число. Корни такого уравнения на числовой оси образуют полуинтервал (см. также задание А-30):

k t < k + 1

Поскольку произведение равно нулю, если хотя бы один из множителей равен нулю, то

На плоскости множество точек, координаты которых удовлетворяют условию y∈[0; 1) представляет область в виде горизонтально направленной полосы, причём нижний её край (y = 0) будет входить в область, а верхний – нет, потому что вторая часть двойного неравенство y < m + 1 является строгой (рис. 1).

Рис. 1.
Рис. 1.

Аналогично, точки с координатами соответствующими требованию x ∈ [0; 1), на плоскости образуют вертикальную полосу, «левая» граница которой входит в её область, а правая – нет.

Графиком исходного уравнения будет объединение двух описанных областей («полос»), образующих на плоскости крестообразную фигуру.

Ответ

-3

Другие задания, имеющиеся на канале, можно найти здесь:

Школьные задачи | Широков Александр | Дзен

-4

Перечень публикаций на канале
Широков Александр2 декабря 2020

Сведения о новых статьях блога выкладываются в Telegram: Shuric_Himik