Добавить в корзинуПозвонить
Найти в Дзене
Широков Александр

Школьные задачи / Алгебра / А-92

Построить на координатной плоскости график уравнения {y}·{x} = 0 (дробную часть числа t принято обозначать в фигурных скобках: {x}; функция f(t)={t} определена на всём множестве действительных чисел, область её значений – полуинтервал [0; 1), она является периодической функцией с периодом, равным 1). Проведём с уравнением равносильные преобразования с учётом того, что произведение равно нулю, если хотя бы один из множителей равен нулю, а дробная часть является нулевой для любого целого числа: Первое выражение в полученном в итоге объединении на координатной плоскости описывает бесконечную череду горизонтальных линий, расположенных на расстоянии 1 друг от друга. Второе уравнение объединения описывает серию вертикальных линий, где расстояние между соседними также составляет единицу. Получается, что графиком заданного в условии задачи уравнения будет служить объединение этих двух серий линий, образующих на координатной плоскости фигуру в виде бесконечной «сетки» с шагом 1. Другие задания,
Оглавление

Задание

Построить на координатной плоскости график уравнения

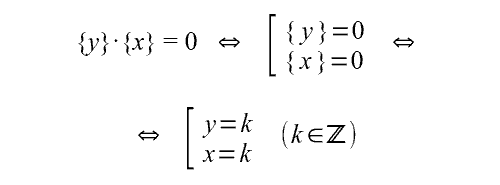
{y}·{x} = 0

(дробную часть числа t принято обозначать в фигурных скобках: {x}; функция f(t)={t} определена на всём множестве действительных чисел, область её значений – полуинтервал [0; 1), она является периодической функцией с периодом, равным 1).

Решение

Проведём с уравнением равносильные преобразования с учётом того, что произведение равно нулю, если хотя бы один из множителей равен нулю, а дробная часть является нулевой для любого целого числа:

Первое выражение в полученном в итоге объединении на координатной плоскости описывает бесконечную череду горизонтальных линий, расположенных на расстоянии 1 друг от друга. Второе уравнение объединения описывает серию вертикальных линий, где расстояние между соседними также составляет единицу.

Получается, что графиком заданного в условии задачи уравнения будет служить объединение этих двух серий линий, образующих на координатной плоскости фигуру в виде бесконечной «сетки» с шагом 1.

Ответ

-2

Другие задания, имеющиеся на канале, можно найти здесь:

Школьные задачи | Широков Александр | Дзен

-3

Перечень публикаций на канале
Широков Александр2 декабря 2020

Сведения о новых статьях блога выкладываются в Telegram: Shuric_Himik