Добавить в корзинуПозвонить
Найти в Дзене
Широков Александр

Школьные задачи / Алгебра / А-84

Построить на координатной плоскости график уравнения: Проведём несложные равносильные преобразования: Таким образом, множество точек плоскости, координаты которых удовлетворяют заданному в условии уравнению, образуют линию, являющуюся графиком функции y = –x. Другие задания, имеющиеся на канале, можно найти здесь: Сведения о новых статьях блога выкладываются в Telegram: Shuric_Himik НОВОСТИ КАНАЛА Сегодняшняя публикация начинает отдельную серию заданий по алгебре, в которых требуется построение графика уравнения вида f(y)·f(x) = k .
Оглавление

Задание

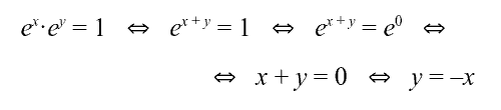
Построить на координатной плоскости график уравнения:

Решение

Проведём несложные равносильные преобразования:

-2

Таким образом, множество точек плоскости, координаты которых удовлетворяют заданному в условии уравнению, образуют линию, являющуюся графиком функции y = –x.

Ответ

-3

Другие задания, имеющиеся на канале, можно найти здесь:

Школьные задачи | Широков Александр | Дзен

-4

Перечень публикаций на канале
Широков Александр2 декабря 2020

Сведения о новых статьях блога выкладываются в Telegram: Shuric_Himik

-5

НОВОСТИ КАНАЛА

Сегодняшняя публикация начинает отдельную серию заданий по алгебре, в которых требуется построение графика уравнения вида f(yf(x) = k .

-6