Добавить в корзинуПозвонить
Найти в Дзене
Широков Александр

Школьные задачи / Алгебра / А-81

Построить на координатной плоскости график уравнения если: а) n = 2k , б) n = 2k + 1 (k – натуральное число). а) Запись n = 2k фактически означает натуральные чётные значения степени корня. В этом случае на число, стоящее под знаком корня, накладывается ограничение в виде требования неотрицательности. Помня, что и сам корень тогда является неотрицательной величиной, обе части исходного уравнения можно будет возвести в степень n, не изменив его смысла: Полученная система означает, что графиком уравнения является часть графика линейной функции y = x, расположенная в первом квадранте. б) Ситуация n = 2k + 1 подразумевает натуральные нечётные значения степени корня, при которых требований к знаку подкоренного выражения нет. Обе части исходного уравнения можно возвести в степень n, получив равносильное равенство: Таким образом, графиком заданного в условии задачи уравнения является линия y = x. а) б) Другие задания, имеющиеся на канале, можно найти здесь: Сведения о новых статьях блога вы
Оглавление

Задание

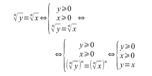
Построить на координатной плоскости график уравнения

если: а) n = 2k , б) n = 2k + 1 (k – натуральное число).

Решение

а) Запись n = 2k фактически означает натуральные чётные значения степени корня. В этом случае на число, стоящее под знаком корня, накладывается ограничение в виде требования неотрицательности. Помня, что и сам корень тогда является неотрицательной величиной, обе части исходного уравнения можно будет возвести в степень n, не изменив его смысла:

-2

Полученная система означает, что графиком уравнения является часть графика линейной функции y = x, расположенная в первом квадранте.

б) Ситуация n = 2k + 1 подразумевает натуральные нечётные значения степени корня, при которых требований к знаку подкоренного выражения нет. Обе части исходного уравнения можно возвести в степень n, получив равносильное равенство:

-3

Таким образом, графиком заданного в условии задачи уравнения является линия y = x.

Ответ

а)

-4

б)

-5

Другие задания, имеющиеся на канале, можно найти здесь:

Школьные задачи | Широков Александр | Дзен

-6

Перечень публикаций на канале
Широков Александр2 декабря 2020

Сведения о новых статьях блога выкладываются в Telegram: Shuric_Himik