Добавить в корзинуПозвонить
Найти в Дзене
Широков Александр

Школьные задачи / Алгебра / А-79

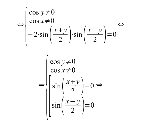
Функцию «секанс» обычно определяют как величину, обратную косинусу: sec t = 1/cos t Построить на координатной плоскости график уравнения sec y = sec x Исходя из определения секанса по условию задачи фактически требуется построить график для 1/cos y = 1/cos x Проведём с ним равносильные преобразования: (после первого равносильного перехода в системе указаны ограничения на значения косинусов, так как они в уравнении стоят в знаменателе; на пятом переходе используется тождество, позволяющее заменить разность косинусов произведением синусов; в последнем переходе равенство x – y = 2πk переписано в виде y = x + 2πk, а не y = x – 2πk (как того требуют правила переноса),потому что под k подразумевается любое целое число 0, ±1, ±2, … ). Рассмотрим объединение в полученной в итоге системе. Первое выражение (y = –x + 2πk) описывает серию уравнений . . . y = –x – 4π y = –x – 2π y = –x y = –x + 2π y = – x+ 4π . . . На координатной плоскости их графики представляют собой множество прямых линий, н
Оглавление

Задание

Функцию «секанс» обычно определяют как величину, обратную косинусу:

sec t = 1/cos t

Построить на координатной плоскости график уравнения

sec y = sec x

Решение

Исходя из определения секанса по условию задачи фактически требуется построить график для

1/cos y = 1/cos x

Проведём с ним равносильные преобразования:

-2
-3

(после первого равносильного перехода в системе указаны ограничения на значения косинусов, так как они в уравнении стоят в знаменателе; на пятом переходе используется тождество, позволяющее заменить разность косинусов произведением синусов; в последнем переходе равенство x y = 2πk переписано в виде y = x + 2πk, а не y = x – 2πk (как того требуют правила переноса),потому что под k подразумевается любое целое число 0, ±1, ±2, … ).

Рассмотрим объединение в полученной в итоге системе. Первое выражение (y = –x + 2πk) описывает серию уравнений

. . .

y = –x – 4π

y = –x – 2π

y = –x

y = –x + 2π

y = – x+ 4π

. . .

На координатной плоскости их графики представляют собой множество прямых линий, наклонённых под углом 135° по отношению к положительному направлению оси абсцисс и смещённых друг относительно друга по оси ординат на 2π.

Второе выражение в объединении (y = x + 2πk) задаёт другую серию уравнений

. . .

y = x – 4π

y = x – 2π

y = x

y = x + 2π

y = x + 4π

. . .

Их графики также являются прямыми линиями, наклонёнными под углом 45° по отношению к положительному направлению оси абсцисс, и смещёнными друг относительно друга по оси ординат на 2π.

Описанные серии линий в совокупности образуют график уравнения

cos y – cos x = 0,

имеющий вид бесконечной «сетки» (рис. 1).

Рис. 1.
Рис. 1.

Рассмотрим теперь первое выражение в итоговой системе:

y ≠ π/2 + πk

Оно описывает множество значений, которые не может принимать величина y в исходном уравнении (cos y ≠ 0). Графически это можно изобразить как бесконечную череду горизонтальных линий, расположенных на расстоянии π друг от друга. Второе уравнение системы

x ≠ π/2 + πk

описывает значения, которые нельзя принимать величине x и графически это выглядит как серия вертикальных линий, где расстояние между соседними составляет π (рис. 2).

 Рис. 2.
Рис. 2.

Для завершения построения необходимо на графике cos y – cos x = 0 «выколоть» точки его пересечений с линиями, соответствующими требованиям cos x ≠ 0 и cos y ≠ 0 (рис. 3).

Рис. 3.
Рис. 3.

Ответ

-7

Другие задания, имеющиеся на канале, можно найти здесь:..

Школьные задачи | Широков Александр | Дзен

-8

Перечень публикаций на канале
Широков Александр2 декабря 2020

Сведения о новых статьях блога выкладываются в Telegram: Shuric_Himik