Добавить в корзинуПозвонить
Найти в Дзене
Широков Александр

Школьные задачи / Алгебра / А-77

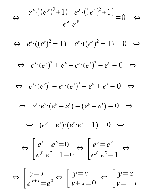
Функция «гиперболический косинус» обозначается как ch t и определяется так: ch t = (eᵗ + e⁻ᵗ)/2 Построить на координатной плоскости график уравнения ch y = ch x Заметим, что ∀ t ∈ ℝ: eᵗ > 0 (читается «для любого действительного t выражение eᵗ всегда положительно»). Проведём с заданным в условии уравнением равносильные преобразования: Полученный в итоге результат говорит о том, что на координатной плоскости график исходного уравнения представляет собой совокупность линий графиков функций y = x и y = –x. Другие задания, имеющиеся на канале, можно найти здесь: Сведения о новых статьях блога выкладываются в Telegram: Shuric_Himik
Оглавление

Задание

Функция «гиперболический косинус» обозначается как ch t и определяется так:

ch t = (eᵗ + e)/2

Построить на координатной плоскости график уравнения

ch y = ch x

Решение

Заметим, что ∀ t ∈ ℝ: eᵗ > 0 (читается «для любого действительного t выражение eᵗ всегда положительно»). Проведём с заданным в условии уравнением равносильные преобразования:

-2

Полученный в итоге результат говорит о том, что на координатной плоскости график исходного уравнения представляет собой совокупность линий графиков функций y = x и y = –x.

Ответ

-3

Другие задания, имеющиеся на канале, можно найти здесь:

Школьные задачи | Широков Александр | Дзен

-4

Перечень публикаций на канале
Широков Александр2 декабря 2020

Сведения о новых статьях блога выкладываются в Telegram: Shuric_Himik