Добавить в корзинуПозвонить
Найти в Дзене

Плотность энергии гравитационного поля.

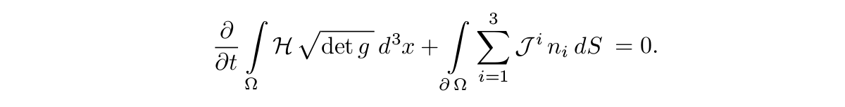
Руслан Шарипов. 1 ... 12 13 14 ... en Мы продолжаем знакомиться с новой неэйнштейновской теорией гравитации, имя которой — «Модель вселенной как 3D-браны». Такое название выглядит как отсылка к теории струн и теории мембран. Именно так реагирует на это название искусственный интеллект от поисковой машины Google. Однако это ошибочная ассоциация. «Модель вселенной как 3D-браны» — это чисто трёхмерная теория вселенной, в которой четырёхмерное пространство служит лишь как математическая абстракция, в которой слой за слоем отображаются различные моменты эволюции трёхмерной вселенной. В чисто трёхмерной вселенной закон сохранения энергии имеет чисто трёхмерный вид Здесь 𝓗 — суммарная плотность энергии всех полей, 𝓙 — а вектор плотности суммарного потока энергии всех полей. Вклад гравитационного поля в плотность энергии 𝓗 даётся формулой Вклад гравитационного поля в компоненты вектора плотности потока энергии 𝓙 даётся формулой Гравитационное поле в ОТО Эйнштейна изолировано от других

Руслан Шарипов.

1 ... 12 13 14 ... en

Мы продолжаем знакомиться с новой неэйнштейновской теорией гравитации, имя которой — «Модель вселенной как 3D-браны». Такое название выглядит как отсылка к теории струн и теории мембран. Именно так реагирует на это название искусственный интеллект от поисковой машины Google. Однако это ошибочная ассоциация. «Модель вселенной как 3D-браны» — это чисто трёхмерная теория вселенной, в которой четырёхмерное пространство служит лишь как математическая абстракция, в которой слой за слоем отображаются различные моменты эволюции трёхмерной вселенной.

В чисто трёхмерной вселенной закон сохранения энергии имеет чисто трёхмерный вид

-2

Здесь 𝓗 — суммарная плотность энергии всех полей, 𝓙 — а вектор плотности суммарного потока энергии всех полей. Вклад гравитационного поля в плотность энергии 𝓗 даётся формулой

-3

Вклад гравитационного поля в компоненты вектора плотности потока энергии 𝓙 даётся формулой

-4

Гравитационное поле в ОТО Эйнштейна изолировано от других полей и не даёт вклада в закон сохранения энергии. Советский и российский академик Л. Д. Фаддеев характеризует эту ситуацию в ОТО следуюими словами: «Энергия гравитаионного поля не локализуема, т. е. не существует однозначно определённой плотности энергии» (см. журнал Успехи физических наук, том 136 (1982), № 3, 436-457). Приведённые выше формулы показывают, что в новой теории такой проблемы нет. Имеется однозначно определённая плотность энергии гравитационного поля. Плотность потока энергии гравитационного поля тоже однозначно определена.