Найти в Дзене

Закон сохранения энергии.

Руслан Шарипов. 1 ... 11 12 13... en Закон сохранения энергии — это один из фундаментальных законов, пронизывающий все разделы физики. В классической физике полей он имеет две формы — интегральную и дифференциальную. В интегральной форме он записывается так: Первый интеграл в формуле выражает полную энергию, заключённую в объёме Ω. Второй интеграл в формуле — это поток энергии через границу объёма Ω. Словами закон сохранения энергии выражается так: изменение количества полной энергии в объёме Ω происходит только за счёт энергии, протекающей через границу этого объёма. Через 𝓗 в формуле закона сохранения энергии обозначена суммарная плотность энергии всех полей, включая и гравитационное поле. Через 𝓙 в этой формуле обозначен вектор суммарной плотности потока энергии всех полей, включая и гравитационное поле. Компоненты этого вектора пронумерованы верхним индексом i. Эти же величины входят в дифференциальную форму закона сохранения энергии: После перехода в релятивистскую физику ситу

Руслан Шарипов.

1 ... 11 12 13... en

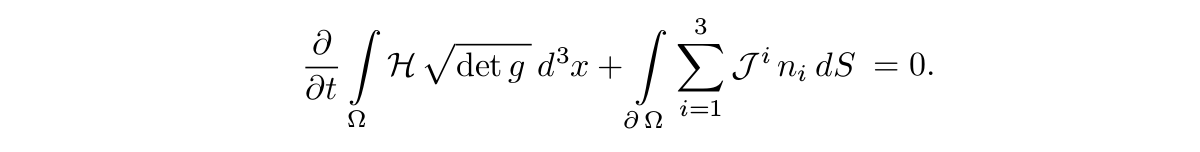
Закон сохранения энергии — это один из фундаментальных законов, пронизывающий все разделы физики. В классической физике полей он имеет две формы — интегральную и дифференциальную. В интегральной форме он записывается так:

-2

Первый интеграл в формуле выражает полную энергию, заключённую в объёме Ω. Второй интеграл в формуле — это поток энергии через границу объёма Ω. Словами закон сохранения энергии выражается так: изменение количества полной энергии в объёме Ω происходит только за счёт энергии, протекающей через границу этого объёма.

Через 𝓗 в формуле закона сохранения энергии обозначена суммарная плотность энергии всех полей, включая и гравитационное поле. Через 𝓙 в этой формуле обозначен вектор суммарной плотности потока энергии всех полей, включая и гравитационное поле. Компоненты этого вектора пронумерованы верхним индексом i. Эти же величины входят в дифференциальную форму закона сохранения энергии:

-3

После перехода в релятивистскую физику ситуация с законом сохранения энергии резко меняется. Интегральная форма закона сохранения энергии в общей теории относительности отсутствует вовсе, а дифференциальная форма приобретает вид

-4

Через T с индексами i и k обозначены компоненты тензора энергии-импульса. Этот тензор включает вклады от всех полей материи, но не содержит прямого вклада от гравитационного поля. Гравитационное поле в ОТО оказывается как бы изолированным от других полей и не даёт вклада в закон сохранения энергии. Советский и российский академик Л. Д. Фаддеев характеризует эту ситуацию в ОТО следующими словами: «Энергия гравитационного поля не локализуема, т. е. не существует однозначно определённой плотности энергии» (см. журнал Успехи физических наук, том 136 (1982), № 3, 436-457).

В новой теории гравитации, которая называется «Модель вселенной как 3D-браны» ситуация с законом сохранения энергии выправляется. Интегральная форма закона возвращается и имеет тот же самый вид, что и в классической физике полей:

-5

Плотность энергии 𝓗 и плотность потока энергии 𝓙 в этой формуле опять содержат вклады от всех полей, в том числе и от гравитационного. Дифференциальная форма закона сохранения энергии слегка отличается от классической:

-6

Дополнительное слагаемое в этой формуле называется хаббловским. Оно возникает в силу того, что в новой теории, так же как и в ОТО, имеется возможность расширения или сжатия вселенной и деформации пространства вблизи массивных гравитирующих тел.