Добавить в корзинуПозвонить
Найти в Дзене

Чайный лес против города

Китайские ученые, отмечая, что благоприятное воздействие природной среды на самочувствие и настроение является общепризнанным, заметили не так давно, что нет строгих научных данных, описывающих влияние на эти самочувствие и настроение не просто природной среды, а чайного леса. И занялись исправлением этого серьезного научного упущения. Для чего группа специалистов по электротехнике в возрасте от 40 до 60 лет, прошедшая предварительный отбор, исключивший тяжелые болезни, несамостоятельность, психические расстройства и отдых в лесу в последние полгода, была разделена на две подгруппы. Одну подгруппа поселили на базе отдыха у чайного леса в городском округе Цзуньи на северо-востоке провинции Гуйчжоу. А вторую — в городском отеле. Обе группы кормили, мониторили на предмет настроения и состояния здоровья и выводили наружу. Только для одних людей наружей был чайный лес, где они гуляли и собирали чай. А для других — город, где они тоже гуляли и занимались чем-то, что в исследовании названо «а

Китайские ученые, отмечая, что благоприятное воздействие природной среды на самочувствие и настроение является общепризнанным, заметили не так давно, что нет строгих научных данных, описывающих влияние на эти самочувствие и настроение не просто природной среды, а чайного леса. И занялись исправлением этого серьезного научного упущения.

Для чего группа специалистов по электротехнике в возрасте от 40 до 60 лет, прошедшая предварительный отбор, исключивший тяжелые болезни, несамостоятельность, психические расстройства и отдых в лесу в последние полгода, была разделена на две подгруппы. Одну подгруппа поселили на базе отдыха у чайного леса в городском округе Цзуньи на северо-востоке провинции Гуйчжоу. А вторую — в городском отеле. Обе группы кормили, мониторили на предмет настроения и состояния здоровья и выводили наружу. Только для одних людей наружей был чайный лес, где они гуляли и собирали чай. А для других — город, где они тоже гуляли и занимались чем-то, что в исследовании названо «активностями в городской среде».

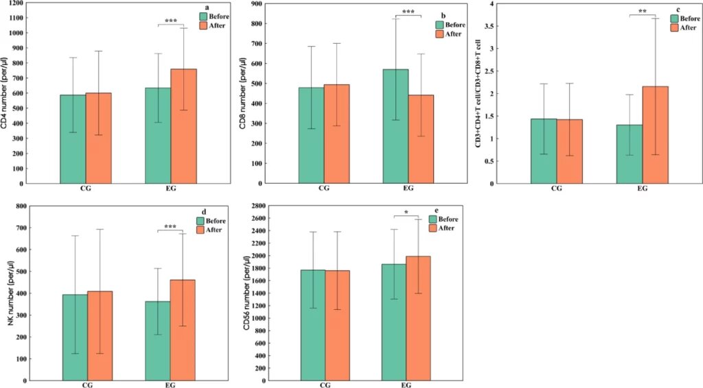
Продолжительность таких экспериментальных периодов составляла 4-5 дней. Которых хватило для того, чтобы у чайно-лесных людей в среднем по группе снизилось артериальное давление, произошли иммунологические улучшения, повысилось настроение и улучшилось качество сна. Тут, конечно, было бы уместно ехидное «Ну кто бы мог подумать!» Но я воздержусь, конечно. И дело тут не только в том, что я очень вежливый и еще более деликатный.

www.nature.com
www.nature.com

А в том, что в своей работе наши ученые китайские чайные братья по полочкам разобрали все факторы, которые влияют на здоровье, самочувствие и настроение людей в чайном лесу. Качество воздуха, температуру, влажность и все такое прочее. Так что их работа — это готовый информационный ресурс, на основе которого можно пучками плодить рекламные продукты для туристического бизнеса, связанного с отдыхом на чайной природе. Не исключено, кстати, что работа изначально задумывалась в том числе и для этого — она была поддержана властями провинции Гуйчжоу.

Переносить в лоб данные о благоприятных экологических факторах чайных лесов в Гуйчжоу на чайные плантации в Краснодарском крае, конечно, не совсем корректно. Но если вы открываете эко-отель где-то под Сочи и у вас там на горизонте есть чайные кусты, то строчку про то, что прогулки по чайным плантациям полезны для пожилых электротехников вы в свою рекламу можете добавлять смело.