Добавить в корзинуПозвонить
Найти в Дзене
Широков Александр

Школьные задачи / Алгебра / А-72

Функция y = f(x) определена на интервале (a; b). Найдите область определения функции y = f(|x|) и опишите, как будет выглядеть её график, если: а) 0 < a < b ; б) a < 0 < b . Обозначим для удобства f(|x|) = Y(x) а) 0 < a < b Область определения f(x) – интервал (a; b) – располагается в положительной части числовой оси. По условию задачи выражение f(x) имеет смысл, если аргумент функции принимает положительные значения в интервале a < x < b Поскольку a > 0 и b > 0, то вид неравенства не изменится, если все его части возвести в квадрат a² < x² < b² В полученном двойном неравенстве все его составляющие также положительны, следовательно извлечение из них квадратного корня не поменяет знаки < на противоположные: |a| < |x| < |b| ⇔ a < |x| < b Решим теперь неравенство с модулем: Полученный результат означает, что если x в f(x) может принимать значения от a до b, то в f(|x|) величина x может принимать значения не только от a до b, но и от –b до –a. Иными словами Y(x) определена не только на (
Оглавление

Задание

Функция y = f(x) определена на интервале (a; b). Найдите область определения функции y = f(|x|) и опишите, как будет выглядеть её график, если:

а) 0 < a < b ;

б) a < 0 < b .

Решение

Обозначим для удобства

f(|x|) = Y(x)

а) 0 < a < b

Область определения f(x) – интервал (a; b) – располагается в положительной части числовой оси. По условию задачи выражение f(x) имеет смысл, если аргумент функции принимает положительные значения в интервале

a < x < b

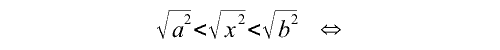
Поскольку a > 0 и b > 0, то вид неравенства не изменится, если все его части возвести в квадрат

a² < x² < b²

В полученном двойном неравенстве все его составляющие также положительны, следовательно извлечение из них квадратного корня не поменяет знаки < на противоположные:

|a| < |x| < |b| ⇔

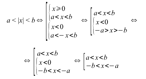
a < |x| < b

Решим теперь неравенство с модулем:

-2

Полученный результат означает, что если x в f(x) может принимать значения от a до b, то в f(|x|) величина x может принимать значения не только от a до b, но и от –b до –a. Иными словами Y(x) определена не только на (a; b), но и в каждой точке интервала (–b; –a). Таким образом область определения Y(x) можно описать как объединение двух интервалов:

(–b; –a)⋃(a; b)

Пусть c – некоторое значение аргумента функции f(x) на интервале (a; b), следовательно на координатной плоскости точка (c; f(c)) принадлежит линии графика y = f(x). Так как |–c| = |c|, то Y(–c) = Y(c) = f(c). Это означает две вещи.

Во-первых, для любой точки графика y = f(x) с координатами (c; f(c)) всегда найдётся совпадающая с ней точка графика y = Y(x) с координатами (c; Y(c)). Иными словами при x ∈ (a; b) график Y(x) совпадает с графиком f(x).

Во-вторых, для любой точки графика y = f(x) с координатами (c; f(c)) всегда найдётся находящаяся на таком же расстоянии от оси ординат точка с координатами (–c; f(c)), принадлежащая графику функции y = Y(x). Совокупность таких точек образует линию, симметричную линии графика y = f(x) относительно оси ординат.

Таким образом на координатной плоскости график Y(x) может быть описан как совокупность линий, состоящая из графика f(x) и его симметричного отражения относительно оси ординат.

б) a < 0 < b

Заметим, что f(x) определена при x = 0, а поскольку |0| = 0, то f(0) = f(|0|) = Y(0), то есть Y(x) также определена при x = 0 и в этой точке равна f(0).

Разобьём интервал (a; b) на два: (a; 0) и (0; b).

Рассмотрим сначала числовой промежуток (0; b), то есть интервал положительных значений аргумента функции. Этот случай фактически был уже рассмотрен в п. а) и из него следует, что раз f(x) определена на (0; b), то Y(x) будет определена на множестве значений x ∈ (–b; 0)⋃(0; b). Так как Y(x) определена ещё и при x= 0 (см. выше), то это позволяет заключить, что Y(x) будет определена на интервале x ∈ (–b; b).

Кроме того, из п. а) вытекает, что график Y(x) должен представлять собой линию, состоящую из части графика f(x) при x ∈ [0; b) и её симметричного относительно оси ординат отражения.

Теперь рассмотрим интервал (a; 0). В его случае возможны два варианта:
ba и a < –b. Разберём каждый из них по отдельности:

  • Если на числовой оси точка –b оказывается левее точки a или совпадает с ней,то это означает, что множество (a; 0) значений аргумента функции Y(x) входит в область её определения (–b; b), так как |a| ⩽ b.
  • Пусть теперь на числовой оси точка a находится левее точки –b. Рассмотрим интервал (a; –b) и выберем на нём произвольную точку c. Для неё всегда будет справедливо неравенство |c| > b, но это означает, что точка |c| на числовой оси всегда будет располагаться правее области определения f(x), то есть в этом случае ни одна точка из (a; –b) не попадает и в область определения Y(x).

Резюмируя изложенные рассуждения, получаем, что когда a < 0 < b, то областью определения Y(x) будет интервал (–b; b), а её график – линия, состоящая из части графика f(x) при x ⩾ 0 и её симметричного относительно оси ординат отражения.

Ответ

а) (–b; –a)⋃(a; b), график f(|x|) есть совокупность линий, состоящая из графика f(x) и его симметричного отражения относительно оси ординат;

б) (–b; b), график f(|x|) – линия, состоящая из части графика f(x) при неотрицательных x и её симметричного относительно оси ординат отражения.

Комментарий

Задача может быть решена значительно проще, хотя и менее строго. Поскольку |–x| = |x|, то Y(x) обладает свойством чётности:

Y(x) = Y(–x) ,

из чего следует, что график Y(x) симметричен относительно оси ординат. Так как при x ⩾ 0 будет |x| = x, то при неотрицательных значениях аргумента график Y(x) полностью совпадёт с графиком f(x).

Для случая а), когда 0 < a < b , в область определения Y(x) войдёт не только интервал (a; b), но и его «зеркальное отражение» (–b; –a), которому будет соответствовать «зеркальная» часть графика f(x) в полуплоскости отрицательных значений абсцисс.

Если же a < 0 < b (вариант б) ), то из чётности Y(x) следует, что она должна быть определена на (–b; b), а график её при x < 0 есть «зеркальное отражение» графика f(x) из полуплоскости положительных значений абсцисс.

Для наглядности ниже схематично показаны графики функции y = f(x) с областью определения (a; b) когда 0 < a < b (рис. 1) и когда a < 0 < b (рис. 2), а также соответствующие им в первом (рис. 3) и втором (рис. 4) случаях графики функции y = f(|x|).

Рис. 1.
Рис. 1.

Рис. 2.
Рис. 2.

Рис. 3.
Рис. 3.

Рис. 4.
Рис. 4.

Полученные при решении разобранной задачи выводы довольно легко обобщаются для случаев, когда область определения f(x) является полуинтервалом [a; b) или (a; b] или же отрезком [a; b] – это делается дополнительным рассмотрением значений функции f(a) и f(b), а также f(|a|) и f(|b|).

Кроме этого, число b можно сделать сколь угодно большим, а число a – сколь угодно малым, что позволяет обобщить выводы на случаи, когда областью определения функции является числовой промежуток (–∞; b) или (a; +∞), а также если f(x) определена при любом действительном значении аргумента.

Также обобщение возможно, когда область определения f(x) есть конечная или бесконечная совокупность интервалов (a₁; b₁)⋃(a₂; b₂)⋃... (a₁ < b₁ < a₂ < b₂ < …), а также аналогичных полуинтервалов, отрезков и их комбинаций.

В целом это всё позволяет сформулировать единое правило построения графика функции y = f(|x|), если известен вид графика f(x). Для этого все точки линии y = f(x), лежащие левее вертикальной координатной оси (то есть имеющие отрицательные значения абсцисс) отбрасываются, а часть графика f(x) из правой координатной полуплоскости зеркально отражается в левую, симметрично оси ординат.

Другие задания, имеющиеся на канале, можно найти здесь:

Школьные задачи | Широков Александр | Дзен

-7

Перечень публикаций на канале
Широков Александр2 декабря 2020

Сведения о новых статьях блога можно найти в Telegram-канале Shuric_Himik