Добавить в корзинуПозвонить
Найти в Дзене
ПОД СТУК

Как определяются номера путей на железнодорожных станциях и как понять по какому поедет поезд?

Приветствую вас, уважаемые подписчики и гости моего канала! Наверняка вам приходилось слышать вблизи станции по громкой связи переговоры железнодорожников, что-то вроде «по первому проследует грузовой поезд», или что-то про «с третьего на пятый, с третьего на пятый». Это всё, конечно в случае, если вы были в состоянии на слух разобрать эту речь из матюгальников. Если же у вас это получалось и вы различали слова в этих фразах, то наверняка догадывались, что эти номера - это, скорее всего, номера путей. И здесь вы не ошиблись. Хотя, впрочем, это могли быть ещё и номера стрелочных переводов, но об этом далее. В этой статье расскажу, как определяются номера путей на железной дороге, в частности на станциях. Начнём с того, что пути бывают главные, а бывают станционные. Станционные пути подразделяется на приёмо-отправочные, погрузочно-разгрузочные, выставочные и так далее, подробно про это я рассказывал вот в этой статье: Главные пути, как на перегонах, так и на станциях, нумеруются при по

Приветствую вас, уважаемые подписчики и гости моего канала! Наверняка вам приходилось слышать вблизи станции по громкой связи переговоры железнодорожников, что-то вроде «по первому проследует грузовой поезд», или что-то про «с третьего на пятый, с третьего на пятый». Это всё, конечно в случае, если вы были в состоянии на слух разобрать эту речь из матюгальников.

Если же у вас это получалось и вы различали слова в этих фразах, то наверняка догадывались, что эти номера - это, скорее всего, номера путей. И здесь вы не ошиблись. Хотя, впрочем, это могли быть ещё и номера стрелочных переводов, но об этом далее. В этой статье расскажу, как определяются номера путей на железной дороге, в частности на станциях.

Фото взято из открытых источников
Фото взято из открытых источников

Начнём с того, что пути бывают главные, а бывают станционные. Станционные пути подразделяется на приёмо-отправочные, погрузочно-разгрузочные, выставочные и так далее, подробно про это я рассказывал вот в этой статье:

Главные пути, как на перегонах, так и на станциях, нумеруются при помощи римских цифр I, II, III, IV и так далее. Если линия однопутная, то есть главный путь один единственный, то за ним будет закреплён номер I. Если же двухпутная то здесь уже поинтереснее. Понятно, что один из них будет I, а другой II, но вот какие именно?

Правильный здесь таков: по I, III, V и далее путям поезда должны ехать в нечётную сторону, по II, IV и VI - соответственно в чётную. Логика здесь такая же, как и в нумерации поездов:

  • Нечётные поезда следуют с севера на юг и с востока на запад
  • Чётные поезда следуют с юга на север и с запада на восток

Тоже самое и с главными путями - если (учитывая правопутное движение) по данному пути поезд будет следовать, например, на юг, то путь будет иметь нечётный номер. Если на север - то, соответственно, чётный.

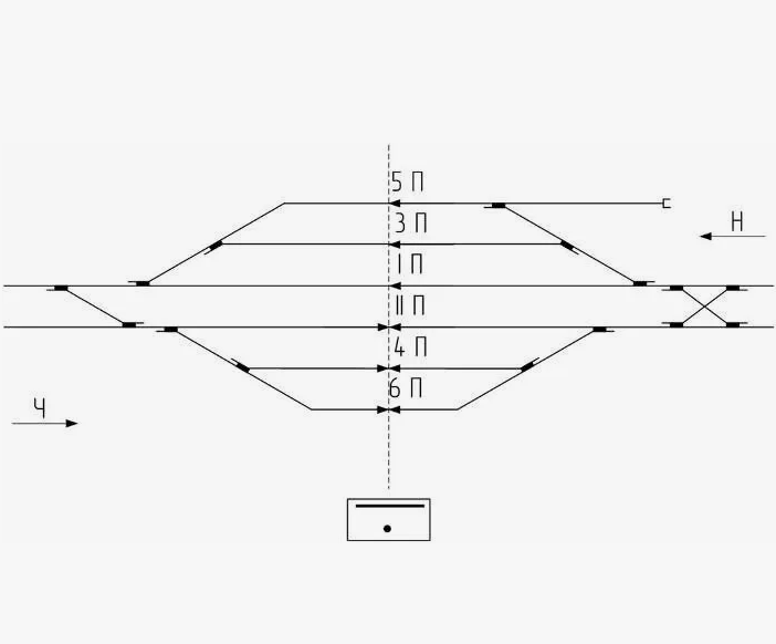
Теперь переходим к путям на станциях. В целом, здесь принцип, о котором я расскажу далее - не универсален. Однако на небольших станциях с малым количеством боковых путей - этот принцип соблюдается.

Звучит принцип следующим образом: пути, предназначенные для приёма нечётных поездов, нумеруются нечётными цифрами (3, 5, 7, 9), а для приёма чётных поездов - чётными (4, 6, 8, 10). Более наглядно, на этой схеме небольшой станции:

-2

Мы имеем два главных пути (I и II, соответственно). Очевидно, что, например, нечётные поезда (прибывающие с I пути) проще принять на боковые пути справа от I главного пути, нежели пересекать II главный путь, по которому может ехать приближающийся встречный поезд.

Следовательно, пути справа от I главного будут иметь нечетную нумерацию, ну а справа от II главного - соответственно, чётную. Однако, повторюсь, соблюдается это не всегда.

-3

А вот что точно всегда соблюдается, так это принцип нумерации стрелочных переводов. Правда вот это уже рядовому обывателю вряд ли когда-то понадобится, но тем не менее. У станции есть понятие горловина - это крайняя часть железнодорожной станции, где происходит развитие путей перегона в пути станции, то есть увеличение числа путей.

Фото взято из открытых источников
Фото взято из открытых источников

Так вот, в нечетной горловине (то есть со стороны прибытия нечётных поездов) стрелочные переводы будут иметь нечетные номера, а в чётной - соответственно чётные.

Для удобства подписчиков Телеграме создан канал, объединяющий несколько Дзен-каналов (в том числе и мой) по теме транспорта. С его помощью вы можете не только быстрее увидеть новые статьи, но и найти канал в случае автоматической отписки, что иногда бывает. Рекомендую подписаться!
-5