Добавить в корзинуПозвонить
Найти в Дзене
Молодой Ипотечник

Откуда взялся коэффициент аннуитета в ипотеке? Наконец-то дошло. Вывел.

Наступили майские праздники. Наконец-то выпала минутка на математические делишки. Ох, как же соскучился. В сегодняшней статье мы с вами последовательно разберем, откуда взялась вообще формула коэффицента аннуитета в ипотеке. С пояснениями и шуточками. Все как мы любим. Вы на канале Молодой Ипотечник! В 2018 взял первую ипотеку на квартиру-студию и начал рассказывать о приключениях на канале. В 2024-ом погасил ее и продолжаю дальше делиться опытом и шишками. Пойдем с самого начала. Давние читатели помнят, что несколько лет назад начал прям углубляться в расчеты и прочие штуки. Например, как-то раз даже написал мини-пособие об управляемой переплате. Формулы, матмодели и прочее. В конце ссылка будет. Так вот и чего. Все плясало на одном выражении. P — платеж по ипотеке. S — остаток долга. K — коэффициент аннуитета. Вот последний товарищ делает так, чтобы все ежемесячные платежи в кредите были равны. Поэтому и называется аннуитетный кредит. Большинство ипотек так и выдают. Так и че
Оглавление

Наступили майские праздники. Наконец-то выпала минутка на математические делишки. Ох, как же соскучился. В сегодняшней статье мы с вами последовательно разберем, откуда взялась вообще формула коэффицента аннуитета в ипотеке. С пояснениями и шуточками. Все как мы любим.

Вы на канале Молодой Ипотечник! В 2018 взял первую ипотеку на квартиру-студию и начал рассказывать о приключениях на канале. В 2024-ом погасил ее и продолжаю дальше делиться опытом и шишками.

Пойдем с самого начала.

Что такое коэффициент аннуитета

Давние читатели помнят, что несколько лет назад начал прям углубляться в расчеты и прочие штуки. Например, как-то раз даже написал мини-пособие об управляемой переплате. Формулы, матмодели и прочее. В конце ссылка будет.

Так вот и чего. Все плясало на одном выражении.

Это формула расчета ипотечного платежа
Это формула расчета ипотечного платежа

P — платеж по ипотеке.

S — остаток долга.

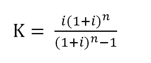
K — коэффициент аннуитета.

Вот последний товарищ делает так, чтобы все ежемесячные платежи в кредите были равны. Поэтому и называется аннуитетный кредит. Большинство ипотек так и выдают.

Так и чего. Коэффицент аннуитета определяют следующим выражением:

-2

i — ежемесячная ставка.

n — количество платежей.

Ну формула и формула. Работает и работает.

А откуда этот коэффициент вообще взялся? Какие спецслужбы придумали? Это заговор? Серьезно, вопрос давно интересовал.

Стоять. Надеваем математические очки. Пойдем ровно по такой логике, с которой я начал искать ответ.

Начнем с простого

Представим, что мы взяли ипотеку ровно на один месяц.

Тогда сколько надо будет отдать банку? Ну, основной долг плюс проценты.

Проценты откуда — это ежемесячная ставка. Умножаем на остаток долга, больше не на что.

То есть наш один платеж будет таковым:

-3

Для приличия причешем:

-4

Так-то (1+i) и есть коэффициент аннуитета. Правда, для одного платежа. Только в наших кредитах их намного больше. Хм, идем давайте копать дальше.

Составляем наглядную таблицу

Смотрите, у нас вот платеж постоянный, ставка постоянная, количество платежей зафиксировано. Только остаток долга S не очень динамично летит к нулю.

Примечание. В реальности все так и будет, если не прошляпить дату платежа, страховки и не вносить досрочки.

Тогда представим в табличном виде.

-5

Начнем с платежа. Да, братишка постоянный. Под капотом у него два слагаемых: проценты и долг.

-6

P% — это у нас произведение текущего остатка долга на ежемесячную ставку. (Sxi).

Pд — это у нас, по сути, разница между текущим и предыдущим остатком долга.

Посему давайте остатки долга в таблице распишем следующим образом:

-7

Пока мы ничего не преобразовали, оно и рано еще. Тут пока смотрим на логику:

Текущий остаток долга: предыдущий остаток минус постоянный платеж и плюс переплата за месяц.

А теперь самое время преобразовывать.

Находим зависимость

Рука на сердце: во время вывода застрял на минут на 40, зато потом как дошло!

Все трушно
Все трушно

Итак, погнали. Возьмем первые два остатка.

-9

Мы видим, что для второго можем расписать первый. Распишем этих бедолаг.

-10

Так, надеюсь, все понятно.

Теперь вынесем S(1+i) за скобки и тоже самое сделаем с платежом (P)

Квадрат суммы передает привет
Квадрат суммы передает привет

Уже чего-то наклевывается. Видим, что показатель степень соответствует порядковому номеру. А чего с платежом делать? Пока непонятно.

Для верности подобным образом раскидаем и третий остаток долга. Надо все-таки найти зависимость.

Знак поменял с минуса на плюс в скобках, так правильно
Знак поменял с минуса на плюс в скобках, так правильно

Пришел к такому виду. И на финальном выражении реально запоролся.

С частью S(1+i) мысль ясна: растет себе по порядку в степени. А вот часть с платежом (P). Никак не схлопывается.

Чесал репу, думал. Быстро такое не загуглишь. Медленно тоже. В Яндексе так вообще:

То есть вообще по нулям
То есть вообще по нулям

Смотрю на это смотрю и доходит.

Короче, выделил полный квадрат.

Так можно,
Так можно,

А вот i+2. Это же сумма (i+1) и 1. А единица это что? Любое число в нулевой степени.

-15

Все, схлопнулось.

Теперь мы видим. Показатель степень в части уравнения с остатком долга соответствует порядковому номеру. У платежа: запоздание на единицу.

Значит, можем расписать и для финального остатка долга.

-16

Кстати-кстати. А чему там у нас равен финальный остаток долга? Ой, как удобно — нулю.

Значит, итоговая зависимость выглядит так:

-17

Ну вот уже что-то напоминает.

Кстати, фан факт. Именно это выражение объясняет, почему выражение P = SхK работает для каждого S (остатка долга) по месяцам.

Доводим до ума

Снова смотрел на выражение. Вроде стало понятнее. Но легче не стало.

С остатком долга в левой части все понятно. Пусть там себе сидит. Только что нам, тижи-пассатижи, делать с правой частью, где платеж.

Вот тут при выводе догадался относительно быстро. У нас в скобках некая сумма.

-18

Нумерация n идет по возрастающей. Значит, первый член этой суммы равен 1. Далее (i+1) и дальше растем каждый шаг до степени n-1. На одну и ту же величину.

То есть в скобках ничто иное как геометрическая прогрессия! Ю-ху!

Осталось вспомнить формулу ее суммы. Со школы позабыл. Вот она:

Да, у нас q положительный и прогрессия растет
Да, у нас q положительный и прогрессия растет

Короче, b1 — первый член, q — знаменатель. Знаменатель — это хрень, на которую нужно умножить b1, чтобы получить b2. Ой, не хрень, число.

И вот этой дроби будет равна та длинная скобка у платежа. Смотрите:

-20

В нашем случае:

b1 равен единице, это (i+1) в нулевой степени, первый бро.

q равен (i+1), на этого типа мы умножаем каждый член.

И вот что выходит:

-21

Вух, теперь осталось все собрать воедино

-22

И вот оно! Тот самый К. Вывел!

Что это значит?

А, то что мы с вами наконец-то выяснили подлинный смысл коэффициента аннуитета. Через ставку и количество платежей в него зашито ежемесячное изменение остатка долга с помощью геометрической прогрессии.

Ну красота же!

Так, финальное.

Вот ссылка на статью, про которую в начале говорил:

Для желающих: поддержать канал рублем через донаты в Дзене.

Да пребудет с вами вычет!