Добавить в корзинуПозвонить
Найти в Дзене
Минус фунт

555. Многозвенные RC-фильтры низкой частоты с активной нагрузкой

Данная статья - в продолжение статьи о многозвенных RC-фильтрах низкой частоты, в которой приведены формулы амплитудно-частотных характеристик (АЧХ) фильтров без нагрузки и сделаны выводы об изменении характеристик фильтров с изменением числа звеньев. В настоящей статье приведены характеристики многозвенных RC-фильтров низкой частоты с активной нагрузкой, изменяющейся в широких пределах. Коэффициент передачи фильтров определяется как Kп=Uвых/Uвх, или отношение выходного напряжения к входному. Логарифмический коэффициент передачи в децибелах определяется как L(ω)=20 lg Kп, при основании логарифмов 10 (десятичный логарифм). Для унификации общепринято применять нормирование по частоте, приводящее расчет различных типов фильтров к расчету нормированного фильтра (прототипа), у которого нормированная частота среза принимается равной единице. Для однозвенного RC-фильтра нормированная частота среза равна ω=1/RC, где ω - круговая частота, определяемая через число пи=3,14159..., и равная ω=2π
Оглавление

Данная статья - в продолжение статьи о многозвенных RC-фильтрах низкой частоты, в которой приведены формулы амплитудно-частотных характеристик (АЧХ) фильтров без нагрузки и сделаны выводы об изменении характеристик фильтров с изменением числа звеньев.

Многозвенные RC-фильтры низких частот с активной нагрузкой

В настоящей статье приведены характеристики многозвенных RC-фильтров низкой частоты с активной нагрузкой, изменяющейся в широких пределах.

Коэффициент передачи фильтров определяется как Kп=Uвых/Uвх, или отношение выходного напряжения к входному. Логарифмический коэффициент передачи в децибелах определяется как L(ω)=20 lg Kп, при основании логарифмов 10 (десятичный логарифм).

Для унификации общепринято применять нормирование по частоте, приводящее расчет различных типов фильтров к расчету нормированного фильтра (прототипа), у которого нормированная частота среза принимается равной единице. Для однозвенного RC-фильтра нормированная частота среза равна ω=1/RC, где ω - круговая частота, определяемая через число пи=3,14159..., и равная ω=2πf, где f - циклическая частота. Выходное сопротивление предыдущей цепи принимается нулевым.

Приведенные формулы АЧХ фильтров справедливы при любых значениях нагрузки, и совпадают с приведенными в предыдущей статье формулами АЧХ фильтров без нагрузки при подстановке в формулы бесконечно большого сопротивления нагрузки.

Графики приведены для 6 значений сопротивлений нагрузки, для отношений значений сопротивления нагрузки к суммарному сопротивлению всех звеньев фильтра (коэффициенту нагрузки Кн) от 1 до 10 (1; 1,4; 2; 3; 5; 10).

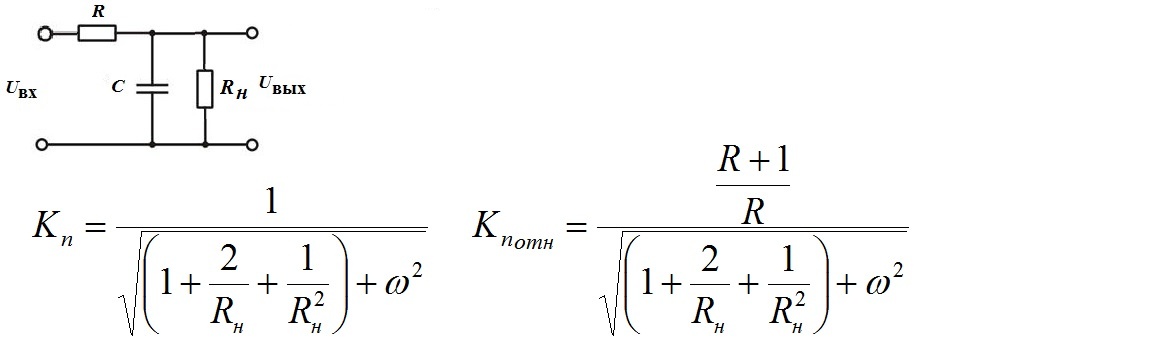
Однозвенный фильтр

Ниже представлены схема и формула АЧХ 1-звенного RC-фильтра НЧ с активной нагрузкой.

-2

В левой части рисунка формула АЧХ фильтра Кп, в правой части формула АЧХ с приведением коэффициента передачи при нулевой частоте (на постоянном токе) к 1, что позволяет сравнивать АЧХ фильтров при изменении нагрузки.

Ниже представлена логарифмическая АЧХ однозвенного фильтра в зависимости от коэффициента нагрузки Кн = Rн/R.

-3

Ниже ЛАЧХ 1-звенного фильтра с приведенным коэффициентом передачи, равным 1 на нулевой частоте.

-4

Из ЛАЧХ следует, что с уменьшением сопротивления нагрузки на данной частоте приведенный коэффициент передачи фильтра увеличивается.

Что касается коэффициента прямоугольности, то для 1-звенного фильтра он от нагрузки не зависит, т.е. при смещении АЧХ фильтров по оси частот до выравнивания уровней на некоторой условной частоте до значения 0,707 (- 3 дБ) все характеристики сливаются, тем самым приобретая вид для характеристики фильтра без нагрузки.

Ниже для последующего сравнения с коэффициентами прямоугольности фильтров с 2, 3, 4 и 5 звеньями ЛАЧХ 1-звенного фильтра при всей гамме коэффициентов нагрузок.

-5

Двухзвенный фильтр

Ниже схема и формула АЧХ 2-звенного RC-фильтра НЧ с активной нагрузкой.

-6

Верхняя формула - АЧХ фильтра Кп, нижняя формула - АЧХ с приведением коэффициента передачи при нулевой частоте (на постоянном токе) к 1 для сравнения АЧХ фильтров при изменении нагрузки. Коэффициент нагрузки Кн по-прежнему рассчитывается как Кн = Rн/R.

Ниже представлена ЛАЧХ 2-звенного фильтра в зависимости от коэффициента нагрузки. Для сопоставления характеристик фильтров разного порядка (при условии равенства просадок выходного напряжения на нулевой частоте при крайних положениях коэффициента нагрузки) коэффициент нагрузки меняется от 20 до 2.

-7

Ниже ЛАЧХ 2-звенного фильтра с приведенным коэффициентом передачи, равным 1 на нулевой частоте.

-8

В отличие от 1-звенного фильтра, для 2-звенного фильтра, как и для фильтров более высоких порядков, с изменением нагрузки меняется коэффициент прямоугольности фильтра. Ниже приведены ЛАЧХ 2-звенных фильтров, с их смещением по оси частот до выравнивания уровней на некоторой условной частоте до значения 0,707 (- 3 дБ).

-9

Ввиду большой густоты графиков с целью укрупнения масштаба верхняя условная частота ограничена значением 10. Как следует из графиков, с ростом нагрузки (уменьшением сопротивления нагрузки), прямоугольность фильтра возрастает.

Трехзвенный фильтр

Ниже схема и формула АЧХ 3-звенного RC-фильтра НЧ с активной нагрузкой.

-10

Ниже ЛАЧХ 3-звенного фильтра в зависимости от коэффициента нагрузки, меняющегося от 30 до 3.

-11

Ниже ЛАЧХ 3-звенного фильтра с приведенным коэффициентом передачи, равным 1 на нулевой частоте.

-12

Ниже ЛАЧХ 3-звенных фильтров, с их смещением по оси частот до выравнивания уровней на некоторой условной частоте до значения 0,707 (- 3 дБ).

-13

Четырехзвенный фильтр

Ниже схема и формула АЧХ 4-звенного RC-фильтра НЧ с активной нагрузкой.

-14

Ниже ЛАЧХ 4-звенного фильтра в зависимости от коэффициента нагрузки, меняющегося от 40 до 4.

-15

Ниже ЛАЧХ 4-звенного фильтра с приведенным коэффициентом передачи, равным 1 на нулевой частоте.

-16

Ниже ЛАЧХ 4-звенных фильтров, с их смещением по оси частот до выравнивания уровней на некоторой условной частоте до значения 0,707 (- 3 дБ).

-17

Пятизвенный фильтр

Ниже схема и формула АЧХ 5-звенного RC-фильтра НЧ с активной нагрузкой.

-18

Ниже ЛАЧХ 5-звенного фильтра в зависимости от коэффициента нагрузки, меняющегося от 50 до 5.

-19

Ниже ЛАЧХ 5-звенного фильтра с приведенным коэффициентом передачи, равным 1 на нулевой частоте.

-20

Ниже ЛАЧХ 5-звенных фильтров, с их смещением по оси частот до выравнивания уровней на некоторой условной частоте до значения 0,707 (- 3 дБ).

-21

Выводы

  1. При возрастании нагрузки на многозвенный фильтр коэффициент передачи уменьшается на низких частотах, в пределе же (на высоких частотах) эта зависимость исчезает, и ЛАЧХ стремится к предельному спаду 20 дБ/декаду на каждое звено фильтра.
  2. При приведении коэффициента передачи фильтра к 1 на нулевой частоте, ЛАЧХ фильтра лежит тем выше в сравнении с ЛАЧХ фильтра без нагрузки, чем меньше сопротивление нагрузки. Но спад ЛАЧХ в пределе (на высоких частотах) по прежнему составляет 20 дБ/декаду на каждое звено фильтра.
  3. Коэффициент прямоугольности 1-звенного фильтра от нагрузки не зависит. Прямоугольность многозвенных фильтров улучшается с ростом нагрузки, при этом отличие существенное при переходе от 1 звена к 2, еще несколько прямоугольность улучшается при переходе к 3-звенному фильтру, и в дальнейшем, с ростом числа звеньев, перестает изменяться. Спад ЛАЧХ на высоких частотах стремится к значению 20 дБ/декаду на каждое звено фильтра.
  4. Факт сближения характеристик прямоугольности с ростом числа звеньев поясняется тем, что многозвенный RC-фильтр НЧ приближается к характеристикам безындукционной длинной линии с потерями, в которой с ростом длины линии коэффициент передачи снижается экспоненциально, чему соотвествует спад ЛАЧХ многозвенного фильтра 20 дБ/декаду на каждое звено фильтра.

Предыдущая статья

554. Многозвенные RC-фильтры низкой частоты без нагрузки