Добавить в корзинуПозвонить
Найти в Дзене
Polygon Plast

Экспертиза полимеров на инородные включения

В компанию Полигон Пласт обратился заказчик, чтобы выяснить химическую природу включений и пути попадания этих включений в полимер (с гранулами, при литье изоляторов из ТПА, пыль из цеха). Подтвердить, что полимером является циклический олефиновый сополимер (ЦОС). В лабораторию были представлены образцы, имеющие посторонние включения тёмного цвета: На ДСК-термограмме образца гранул при нагреве наблюдается фазовый переход, отвечающий области стеклования в интервале температур (127,3÷134,1) ºС. Пиков, свидетельствующих о плавлении и кристаллизации иных полимеров, не обнаружено. Таким образом, термограмма соответствует термограмме ЦОС с температурой стеклования (127,3÷134,1) ºС. В целях выяснения наличия посторонних примесей на поверхности гранул было проведено исследование по определению количества золы в исходных гранулах и в гранулах после промывки поверхности. Промывание гранул проводилось в стеклянной колбе в среде этанола. После этого проводили промывку проточной дистиллированной во
Оглавление

В компанию Полигон Пласт обратился заказчик, чтобы выяснить химическую природу включений и пути попадания этих включений в полимер (с гранулами, при литье изоляторов из ТПА, пыль из цеха). Подтвердить, что полимером является циклический олефиновый сополимер (ЦОС).

В лабораторию были представлены образцы, имеющие посторонние включения тёмного цвета:

  1. Полимерные гранулы неокрашенные;
  2. Детали высоковольтных изоляторов, отформованные из того же полимера, что и гранулы.

Методики и оборудование для исследования

  1. Дифференциально – сканирующая калориметрия (ДСК). Термоанализатор «Netzsch DSC 214» для определения температур стеклования, плавления, энтальпии фазовых переходов полимеров, удельной теплоемкости по ГОСТ Р 55134-2012. Сканирование проводилось в инертной среде (азот) при скорости 10 °С/мин от комнатной температуры до +220 °С.
  2. Термический анализ в муфельной печи, в атмосфере воздуха по ГОСТ 29127-91 до температуры 600°С. Скорость нагрева - 20 °С/мин, выдержка при температуре 60 минут. Муфельная печь «Magma 2300-0000». Весы аналитические Vibra AF-224 RCE.
  3. Инфракрасная спектроскопия (ИК-спектроскопии). Спектрофотометр «Shimadzu IRAffinity-1», оборудованный приставкой многократного НПВО (кристалл – Ge 45о).
  4. Микроскоп поляризационный ПЛМ-2 с видеокамерой.

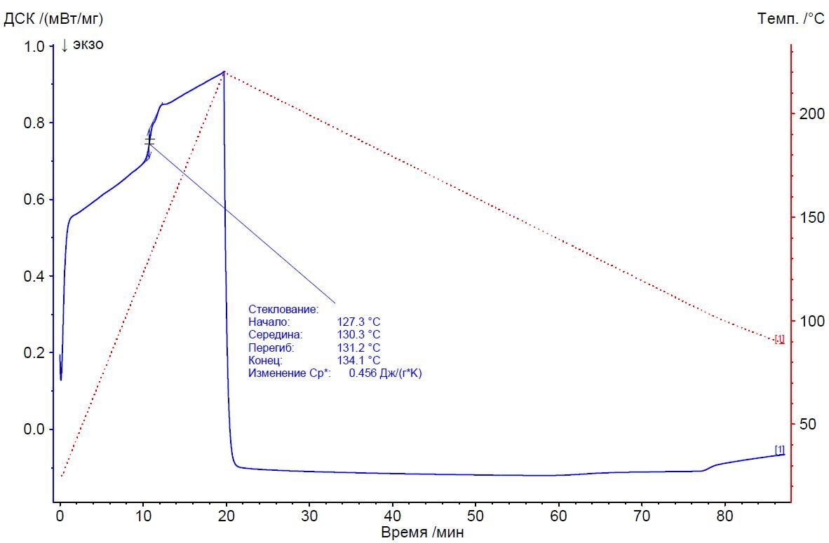
Результаты ДСК (дифференциально-сканирующая калориметрия)

На ДСК-термограмме образца гранул при нагреве наблюдается фазовый переход, отвечающий области стеклования в интервале температур (127,3÷134,1) ºС. Пиков, свидетельствующих о плавлении и кристаллизации иных полимеров, не обнаружено.

Таким образом, термограмма соответствует термограмме ЦОС с температурой стеклования (127,3÷134,1) ºС.

ДСК-термограмма образца
ДСК-термограмма образца

Результаты термического анализа на наличие примесей

В целях выяснения наличия посторонних примесей на поверхности гранул было проведено исследование по определению количества золы в исходных гранулах и в гранулах после промывки поверхности.

Промывание гранул проводилось в стеклянной колбе в среде этанола. После этого проводили промывку проточной дистиллированной водой. Затем сушка при температуре +40ºС в колбе, защищённой от попадания посторонних частиц из внешней среды.

Озоление проводили в закрытых крышками тиглях при температуре 600 °С в течение 60 минут в воздушной среде. Затем, после осмотра тиглей и произведения фотографирования, тигли помещались в муфельную печь, где температура поднималась до 800 °С и выдерживались в изотермическом режиме при этой температуре в течение 30 минут.

Осмотр тиглей после выдержки при 600 °С выявил наличие тёмных вкраплений на внутренней поверхности. Фотографии тиглей с отмытыми и исходными гранулами после отжига при 600 °С (представлены ниже на иллюстрации). После подъема температуры до 800°С черные вкрапления исчезли, что свидетельствует об их органической природе.

Фотография тиглей после отжига - слева исходные гранулы, а справа после промывки
Фотография тиглей после отжига - слева исходные гранулы, а справа после промывки

Затруднение выгорания при 600 °С характерно для коксовых образований (подгаров и обуглившихся ранее частиц полимера), которые находились внутри гранул до начала озоления.

Из описанного выше следует, что вероятно присутствие нагаров, оставшихся от предыдущей переработки полимера, внутри гранул.

После завершения озоления гранул на дне тиглей остался белый неорганический порошок в количестве менее 0,01 %.

Результаты инфракрасной спектроскопии

Образовавшуюся после термообработки золу (белый порошок) изучили с помощью ИК спектроскопии для выявления химического состава. ИК спектры порошков представлены ниже.

Характерные пики на ИК спектрах золы исходных и отмытых гранул близки, и наблюдаются в области 1014 см-1 и 1010 см-1, соответственно. Эта длина волны характерна для спектра окиси кремния (SiO2).

Окись кремния может служить инертным носителем катализатора при синтезе полимера. По электротехническим свойствам окись кремния является отличным диэлектриком и может входить в состав высоковольтной изоляции без ущерба для изолирующих свойств.

Замечено, что спектр золы отмытых гранул имеет меньше паразитных шумов, чем спектр золы исходных гранул. Можно заключить, что отмывка гранул устранила поверхностные включения незаметные при визуальном осмотре.

Результаты микроскопического исследования

Включения выявлялись визуальным осмотром с использованием увеличительной лупы. После выявления дефекты и включения изучались и измерялись при помощи микроскопа.

Исследование гранул полимера

На иллюстрациях ниже представлены фотографии включений, обнаруженных внутри гранул. На цветном фото видно, что включения представляют собой окислившиеся области полимера (т.н. «подгары»), которые, как правило, образуются при переработке полимера в «застойных» зонах экструдера.

Ниже представлены фотографии включений, обнаруженных на поверхности гранул. Это обрывки волокон, которые, с большой долей вероятности, могли попасть на гранулы при фасовке полимера в тканевые мешки или из атмосферы цеха после раскрытия тары с полимером.

фотография фрагмента изделия с содержащимся внутри него посторонним включением
фотография фрагмента изделия с содержащимся внутри него посторонним включением

Исследование изделий

На рисунке выше представлена фотография фрагмента изделия с содержащимся внутри него посторонним включением. Размер включения около 100 мкм.

К сожалению, подобраться ближе к включению и сделать более чёткий снимок и получить ИК спектр включения, не представилось возможным, ввиду малых размеров.

Обращает на себя внимание факт, что представленные на исследование гранулы и изделия не имеют прозрачности, присущей полимерам и изделиям из ЦОС.

Гранулы в форме цилиндра образуются при стренговой грануляции, характерной для мелкосерийных производственных линий. На больших производствах синтеза полимеров, как правило, стоят высокопроизводительные экструзионные линии с подводной грануляцией. Гранулы подводной грануляции имеют форму близкую к шарообразной.

Предположительно: полимер мог подвергаться вторичной переработке на малотоннажном производстве.

Заключение экспертизы

  1. Представленные на изучение гранулы являются циклическим полиолефиновым сополимером (ЦOC) с температурой стеклования (127,3÷134,1) ºС.
  2. Вероятно, что зола, состоящая из SiO2, является остатком от инертного носителя катализатора синтеза полимера. По электротехническим свойствам окись кремния является отличным диэлектриком и может входить в состав высоковольтной изоляции без ущерба для изолирующих свойств.
  3. Термический анализ показал, что внутри гранул присутствуют частицы коксовых остатков, оставшихся от предыдущей переработки полимера.
  4. Выявленные при микроскопическом изучении включения имеют размер около 100 мкм. Включения обнаружены внутри и на поверхности гранул. В изделия включения попадают из гранул.
  5. Обращает на себя внимание факт, что представленные на исследование гранулы и изделия не имеют прозрачности, присущей полимерам и изделиям из ЦОС.

Общий итог: посторонние включения попадают в изделия из гранул, в которые, в свою очередь, попадают из атмосферы цеха, например, при раскрытии упаковки.

Компания ООО "Полигон Пласт" профессионально занимается инжинирингом пластмасс 20 лет. Наша задача оптимизировать ваше производство, исключить брак и развивать ваш бизнес. Получить консультацию можно, заполнив форму на нашем сайте.

Что еще почитать в нашем блоге