Добавить в корзинуПозвонить
Найти в Дзене
Будни репетитора

Формулы приведения

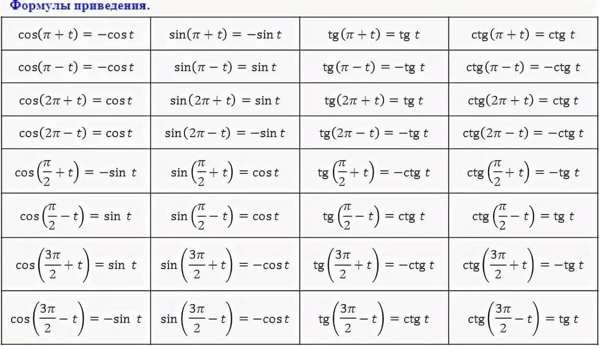
Тому, кто первый раз слышит название, может привИдеться такая картинка ПривИдение и привЕдение - разница в одну букву и колоссальная разница по сути! — это выражения, которые позволяют упростить тригонометрические функции углов, выходящих за пределы от 0° до 90° (или от 0 до π/2 в радианах). Этих формул - одна? две? четыре? Их - бесконечное множество! хотя основных всего (?!) 32 Вот они Соответственно запомнить их все физически нереально! Разберём Вы уже заметили, что в каких то случаях функции остаются без изменения, а в каких то меняются, где то появляется знак "минус"? Итак, во всех формулах приведения есть угол, являющийся "границей" четверти Смотрим на какой оси находится точка, соответствующая углу И делаем движение головой (жест) вдоль оси. Это будет соответствовать ответу "да" или "нет". Таким образом, мы ответим на вопрос: "Меняется функция на кофункцию?"(да/нет) Кофункции: синус и косинус; тангенс и котангенс Знак перед полученным значением определяется по знаку исходной функ
Оглавление

ПривИдение или привЕдение

Тому, кто первый раз слышит название, может привИдеться такая картинка

ПривИдение и привЕдение - разница в одну букву и колоссальная разница по сути!

Формулы приведения в тригонометрии

— это выражения, которые позволяют упростить тригонометрические функции углов, выходящих за пределы от 0° до 90° (или от 0 до π/2 в радианах).

Этих формул - одна? две? четыре? Их - бесконечное множество! хотя основных всего (?!) 32 Вот они

-2

Соответственно запомнить их все физически нереально!

Разберём

"Мнемоническое" правило для запоминания формул приведения.

Вы уже заметили, что в каких то случаях функции остаются без изменения, а в каких то меняются, где то появляется знак "минус"?

Итак, во всех формулах приведения есть угол, являющийся "границей" четверти

-3

Смотрим на какой оси находится точка, соответствующая углу И

-4

делаем движение головой (жест) вдоль оси. Это будет соответствовать ответу "да"

-5

или "нет". Таким образом, мы ответим на вопрос: "Меняется функция на кофункцию?"(да/нет)

Кофункции: синус и косинус; тангенс и котангенс

Знак перед полученным значением определяется по знаку исходной функции. И это зависит от того, в какой четверти находится угол

-6

Примеры:

№1

-7

Решение:

-8

№2

-9

Решение:

-10

Задания для тренировки:

-11
Ответы для самопроверки: 3) - 24; 4) 12; 5) - 12; 6) - 4,8; 7) - 1, 5

Полезно вспомнить:

До встречи!