Добавить в корзинуПозвонить
Найти в Дзене
MathAlina

Подходы к решению заданий повышенной трудности. Радикалы ч.2

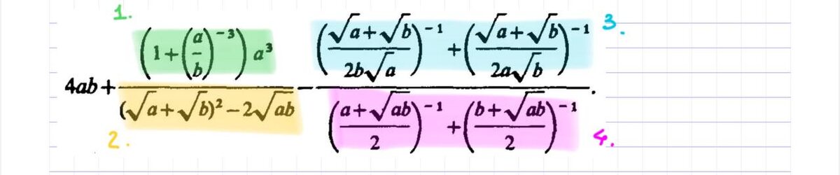
Здравствуйте! В предыдущей части мы спасались как могли, формул сокращенного умножения практически не было. Зато там было умножение, то позволяло нам отдельно преобразовать первую часть выражения и отдельно вторую. В данном же примере только сложение и вычитание между крупными компонентами, в теле которых еще и дроби.. а там опять дроби... Вывод только один - рассматривать придется комплексно, сразу обращая внимание на весь пример целиком. Приступим! Для начала воспользуемся принципом "разделяй и властвуй". Это не совсем то же самое, что и решение по действиям, потому что в конце мы вернем всё на свои места. Здесь пошагово доведем до ответа. Во-первых, воспользуемся тем, что при возведении в отрицательную степень дробь переворачивается. Выполним и приведем к общему знаменателю (это было во-вторых). Полученный ответ зафиксируем для дальнейшей подмены. Формулы сокращенного умножения могут быть использованы не только в явном виде. Например, в данном случае m=√a, n=√b. Если разложить по

Здравствуйте! В предыдущей части мы спасались как могли, формул сокращенного умножения практически не было. Зато там было умножение, то позволяло нам отдельно преобразовать первую часть выражения и отдельно вторую. В данном же примере только сложение и вычитание между крупными компонентами, в теле которых еще и дроби.. а там опять дроби... Вывод только один - рассматривать придется комплексно, сразу обращая внимание на весь пример целиком. Приступим!

-2

Для начала воспользуемся принципом "разделяй и властвуй". Это не совсем то же самое, что и решение по действиям, потому что в конце мы вернем всё на свои места.

-3

Здесь пошагово доведем до ответа. Во-первых, воспользуемся тем, что при возведении в отрицательную степень дробь переворачивается. Выполним и приведем к общему знаменателю (это было во-вторых). Полученный ответ зафиксируем для дальнейшей подмены.

-4

Формулы сокращенного умножения могут быть использованы не только в явном виде. Например, в данном случае m=√a, n=√b. Если разложить по известному соотношению и привести подобные слагаемые, то останется просто a+b.

-5

Шаг 1: переворачиваем дроби из-за отрицательной степени.

Шаг 2: выясняем, что знаменатель УЖЕ общий. Складываем.

Шаг 3: группируем и сокращаем.

-6

Шаг 1: переворачиваем дроби из-за отрицательной степени.

Шаг 2: выясняем, что знаменатель не общий. Домножаем так, чтобы он стал общим.

Шаг 3: выполняем умножение и числителей и знаменателей.

Шаг 4: выносим общие множители сверху и снизу.

Шаг 5: сокращаем и получаем ответ.

-7

Вернемся к тому, с чего начали. Вспомним принцип, которому мы следуем: смотреть на ситуацию полностью. Теперь мы будем выполнять все действия в строчку, наблюдая за тем, как слагаемые взаимосвязаны.

Если пытаться сделать всё по действиям (а не только упрощение отдельных компонентов), это приведет к избыточным действиям и ошибкам.

-8

Какое, оказывается, простое выражение пряталось в этих радикальных дробных дробях:)

Спасибо за просмотр! Подписывайтесь!