Добавить в корзинуПозвонить
Найти в Дзене
Математика не для всех

Как Алан Тьюринг объяснил пятна леопарда с помощью математики

Алан Тьюринг - имя, которое у многих ассоциируется с взломом немецкого кода Enigma и основами компьютерной науки. Однако мало кто знает, что этот блестящий ум XX века оставил свой след и в области биологии. Его единственная работа в этой сфере до сих пор вызывает интерес ученых, спустя более полувека после публикации. Тьюринга интересовал, казалось бы, простой вопрос: как из однородного комочка клеток эмбриона возникают сложные узоры на шкурах животных? Почему у зебры полоски, а у леопарда пятна? Ответ, который он предложил, оказался настолько элегантным и универсальным, что его идеи до сих пор используются для объяснения множества природных явлений.
В основе теории Тьюринга лежит взаимодействие двух химических веществ, которые он назвал морфогенами. Одно из них - активатор, другое - ингибитор. Эти вещества влияют друг на друга и на свое собственное производство, создавая сложную систему обратных связей. Ключевой момент теории заключается в том, что ингибитор распространяется быстрее

Алан Тьюринг - имя, которое у многих ассоциируется с взломом немецкого кода Enigma и основами компьютерной науки. Однако мало кто знает, что этот блестящий ум XX века оставил свой след и в области биологии. Его единственная работа в этой сфере до сих пор вызывает интерес ученых, спустя более полувека после публикации.

Тьюринга интересовал, казалось бы, простой вопрос: как из однородного комочка клеток эмбриона возникают сложные узоры на шкурах животных? Почему у зебры полоски, а у леопарда пятна? Ответ, который он предложил, оказался настолько элегантным и универсальным, что его идеи до сих пор используются для объяснения множества природных явлений.

В основе теории Тьюринга лежит взаимодействие двух химических веществ, которые он назвал морфогенами. Одно из них - активатор, другое - ингибитор. Эти вещества влияют друг на друга и на свое собственное производство, создавая сложную систему обратных связей. Ключевой момент теории заключается в том, что ингибитор распространяется быстрее активатора.

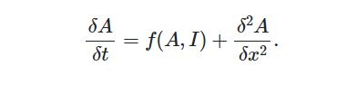
Математически это взаимодействие описывается системой уравнений реакции-диффузии:

-2
Здесь A и I - концентрации активатора и ингибитора соответственно, f и g - функции, описывающие скорости реакций, а D_A и D_I - коэффициенты диффузии. Ключевое условие теории Тьюринга: D_I > D_A.
Здесь A и I - концентрации активатора и ингибитора соответственно, f и g - функции, описывающие скорости реакций, а D_A и D_I - коэффициенты диффузии. Ключевое условие теории Тьюринга: D_I > D_A.

Представьте себе поверхность эмбриона как спокойное озеро. Теперь бросьте в него камешек - это будет наше начальное возмущение, небольшое увеличение концентрации активатора в одной точке. Что произойдет? Активатор начнет стимулировать свое собственное производство, создавая "волну" высокой концентрации. Но вместе с ним начнет вырабатываться и ингибитор. Ингибитор распространяется быстрее, опережая волну активатора и подавляя его действие на периферии. В результате формируется область с высокой концентрацией активатора, окруженная зоной ингибирования.

Этот процесс повторяется снова и снова, создавая сложные узоры из областей с высокой и низкой концентрацией активатора. А теперь представьте, что высокая концентрация активатора стимулирует выработку темного пигмента в коже животного. Вот вам и объяснение появления пятен у леопарда или полос у зебры!

Красота теории Тьюринга в том, что она объясняет не только сам факт появления узоров, но и их разнообразие. Размер пятен, расстояние между ними, переход от пятен к полосам - все это зависит от тонкого баланса между скоростью реакций и диффузии морфогенов, а также от размеров самого эмбриона.

-4

Возьмем, к примеру, жирафов. У сетчатого жирафа и жирафа Ротшильда узоры заметно отличаются. Теория Тьюринга предполагает, что это может быть связано с разными "пороговыми значениями" - концентрацией активатора, необходимой для запуска выработки пигмента. У зебры же полосы могут формироваться из-за высокой "насыщенности" процесса - когда концентрация активатора достигает максимума и пятна сливаются в полосы.

Интересно, что размер животного также играет важную роль. У совсем маленьких животных, вроде мышей, узор может не успеть сформироваться, а у очень крупных, как слоны, пятна могут быть настолько мелкими, что сливаются в однородный цвет. Это объясняет, почему узорчатую окраску мы чаще всего видим у животных среднего размера.

Теория Тьюринга даже объясняет, почему у животных с пятнистым телом часто бывает полосатый хвост, но никогда наоборот. Дело в том, что хвост можно представить как сужающийся цилиндр. В его основании область достаточно широка для формирования пятен, но ближе к кончику она становится слишком узкой, и пятна "растягиваются" в полосы.

Идеи Тьюринга нашли применение не только в биологии. Они используются для объяснения формирования узоров в химических реакциях, экологических системах и даже в социальных науках. А художница Марта де Менезес использовала эти принципы для создания уникальных произведений искусства, изменяя естественные узоры на крыльях живых бабочек.

Источник: https://plus.maths.org/content/how-leopard-got-its-spots