Добавить в корзинуПозвонить
Найти в Дзене

Задания 724, 725 и 729 из учебника по алгебре для 8-го класса (автор Ю. Н. Макарычев)

Уважаемые мамы и папы, дедушки и бабушки! На примерах решений заданий № 724, 725 и 729 из учебника по алгебре для 8-го класса авторов Ю. Н. Макарычева, Н. Г. Миндюк, К. И. Нешкова и С. Б. Суворова под редакцией С. А. Теляковского предлагаю вспомнить использование разности левой и правой частей неравенства для её доказательства. Сравните числа a и b, если: а) a – b = – 0,001; б) a – b = 0; в) a – b = 4,3. В главе IV §10 п. 28 учебника на странице 161 авторы учебника дают определение: число a больше числа b, если разница a – b — положительное число; число a меньше числа b, если разница a – b — отрицательное число; если разница a – b равна нулю, то числа a и b равны. Исходя из этого определения, если a – b = – 0,001, то a < b, если a – b = 0, то a = b и если a – b = 4,3, то a > b. Ответ: а) a < b; б) a = b; в) a > b. Известно, что a < b. Может ли разность a – b выражаться числом 3,72? – 5? 0? Как уже сказано выше, число a меньше числа b, если разница a – b — отрицательное число. Из трёх
Оглавление

Числовые неравенства

Уважаемые мамы и папы, дедушки и бабушки!

На примерах решений заданий № 724, 725 и 729 из учебника по алгебре для 8-го класса авторов Ю. Н. Макарычева, Н. Г. Миндюк, К. И. Нешкова и С. Б. Суворова под редакцией С. А. Теляковского предлагаю вспомнить использование разности левой и правой частей неравенства для её доказательства.

Задание 724:

Сравните числа a и b, если:

а) ab = – 0,001; б) ab = 0; в) ab = 4,3.

Решение:

В главе IV §10 п. 28 учебника на странице 161 авторы учебника дают определение: число a больше числа b, если разница ab положительное число; число a меньше числа b, если разница ab — отрицательное число; если разница ab равна нулю, то числа a и b равны.

Исходя из этого определения, если ab = – 0,001, то a < b, если ab = 0, то a = b и если ab = 4,3, то a > b.

Ответ: а) a < b; б) a = b; в) a > b.

Задание 725:

Известно, что a < b. Может ли разность ab выражаться числом 3,72? – 5? 0?

Решение:

Как уже сказано выше, число a меньше числа b, если разница ab — отрицательное число.

Из трёх вариантов ответа только число – 5 является отрицательным.

Ответ: a – b = 3,72 не может, : a – b = – 5 может, a – b = 0 не может.

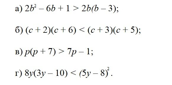
Задание 729:

Докажите неравенство:

Решение:

-2

Как уже сказано выше, число a больше числа b, если разница ab положительное число.

Составим разность левой и правой частей уравнения и преобразуем её:

-3

Как уже сказано выше, число a меньше числа b, если разница ab отрицательное число.

Составим разность левой и правой частей уравнения и преобразуем её:

-4

Аналогичным образом решаем оставшиеся два примера:

-5

Любое число в квадрате больше нуля или равно нулю (неотрицательное). Число 1 больше нуля. Сумма двух чисел, одно из которых неотрицательное, а другое положительное является положительным числом, поэтому неравенство p(p + 7) > 7p – 1 является верным.

-6

Преобразуем правую часть неравенства, используя формулу квадрата разности двух выражений:

-7

Составим разность левой и правой частей уравнения и преобразуем её:

-8