Найти в Дзене

BM25/BM25F: Разбор алгоритма ранжирования Яндекс и Google

Источник BM25 (Best Match 25) - это вероятностный алгоритм ранжирования, используемый для определения релевантности документов поисковому запросу. Он широко применяется в поисковых системах и системах управления информацией. Основные принципы BM25: В основе BM25 лежит вероятностная модель, которая оценивает вероятность релевантности документа запросу на основе частоты встречаемости терминов запроса в документе, а также статистических характеристик коллекции документов. Компоненты BM25: Формула BM25: BM25 использует сложную формулу для расчета релевантности, которая учитывает все перечисленные компоненты. Преимущества BM25: Ограничения BM25: Сравнение с другими методами: BM25 часто сравнивают с другими методами ранжирования, такими как TF-IDF и модели векторного пространства. В целом, BM25 демонстрирует более высокую эффективность и гибкость. BM25 является мощным и гибким алгоритмом ранжирования, который широко используется в поисковых системах. Его эффективность и простота делают его
Оглавление

Источник

BM25 (Best Match 25) - это вероятностный алгоритм ранжирования, используемый для определения релевантности документов поисковому запросу. Он широко применяется в поисковых системах и системах управления информацией.

Основные принципы BM25:

В основе BM25 лежит вероятностная модель, которая оценивает вероятность релевантности документа запросу на основе частоты встречаемости терминов запроса в документе, а также статистических характеристик коллекции документов.

Компоненты BM25:

  1. TF (Term Frequency): Частота встречаемости термина в документе. Чем чаще термин встречается в документе, тем выше вероятность его релевантности.
  2. IDF (Inverse Document Frequency): Инверсная частота документа. Эта мера отражает важность термина в коллекции. Редкие термины, которые встречаются в небольшом количестве документов, получают больший вес, чем частые термины.
  3. Длина документа: BM25 учитывает длину документа, поскольку более длинные документы имеют больше шансов содержать термины запроса просто случайно.
  4. Параметры k1 и b: Эти параметры позволяют настроить влияние TF и длины документа на итоговый рейтинг.

Формула BM25:

-2

BM25 использует сложную формулу для расчета релевантности, которая учитывает все перечисленные компоненты.

Преимущества BM25:

  • Эффективность: BM25 демонстрирует высокую эффективность в ранжировании документов.
  • Простота: Алгоритм относительно прост в реализации и настройке.
  • Гибкость: Параметры k1 и b позволяют адаптировать BM25 к конкретным задачам и коллекциям документов.

Ограничения BM25:

  • Не учитывает семантику: BM25 работает с отдельными терминами и не учитывает семантические связи между ними.
  • Не учитывает порядок слов: Алгоритм не учитывает порядок слов в запросе, что может влиять на релевантность результатов.

Сравнение с другими методами:

BM25 часто сравнивают с другими методами ранжирования, такими как TF-IDF и модели векторного пространства. В целом, BM25 демонстрирует более высокую эффективность и гибкость.

BM25 является мощным и гибким алгоритмом ранжирования, который широко используется в поисковых системах. Его эффективность и простота делают его привлекательным инструментом для решения различных задач информационного поиска.

Расширение возможностей BM25: Модификации для учёта близости терминов и структуры документа

BM25, являясь эффективным алгоритмом ранжирования, обладает потенциалом для дальнейшего усовершенствования. Существуют модификации, которые учитывают дополнительные факторы, такие как близость терминов в документе и его структура, что позволяет достичь ещё более точных результатов поиска.

1. Учёт близости терминов:

  • BM25 с учетом фразового поиска: Эта модификация придает больший вес документам, где термины запроса встречаются рядом друг с другом, образуя фразу. Например, для запроса "искусственный интеллект" документы, содержащие фразу "искусственный интеллект", будут ранжироваться выше, чем те, где слова "искусственный" и "интеллект" встречаются далеко друг от друга.
  • BM25 с учетом расстояния между терминами: Данная модификация учитывает расстояние между терминами запроса в документе. Чем ближе термины расположены друг к другу, тем выше релевантность документа. Это позволяет более точно оценивать семантическую связь между терминами.

2. Учёт структуры документа:

  • BM25 с учетом зон документа: Эта модификация присваивает разный вес различным зонам документа, таким как заголовок, текст, аннотация, ссылки. Термины, встречающиеся в более важных зонах, получают больший вес.
  • BM25 с учетом тегов HTML: Данная модификация учитывает структуру документа, определяемую тегами HTML. Например, термины, встречающиеся в тегах заголовков (h1, h2 и т.д.), могут получить больший вес, чем термины в обычном тексте.
  • BM25 с учетом структуры XML: Эта модификация разработана для работы с документами в формате XML. Она учитывает структуру документа, определяемую элементами и атрибутами XML, присваивая им разные веса.

Преимущества модификаций BM25:

  • Улучшенная релевантность: Учет дополнительных факторов позволяет более точно определять релевантность документов, что приводит к лучшим результатам поиска.
  • Гибкость настройки: Различные модификации позволяют адаптировать BM25 к специфике конкретных задач и коллекций документов.
  • Совместимость с BM25: Модификации BM25 основаны на базовом алгоритме, что упрощает их внедрение в существующие системы.

Выбор модификации BM25:

Выбор конкретной модификации BM25 зависит от ряда факторов, таких как:

  • Тип документов: Для структурированных документов, таких как веб-страницы или XML-файлы, полезно использовать модификации, учитывающие структуру документа.
  • Тип запросов: Для запросов, состоящих из нескольких терминов, важно учитывать близость терминов в документе.
  • Цель поиска: В зависимости от цели поиска, можно выбирать модификации, которые придают больший вес определенным зонам документа.

BM25 в современных поисковых системах: Сочетание с машинным обучением

BM25, несмотря на свою эффективность, не является единственным инструментом современных поисковых систем. В эпоху больших данных и сложных информационных потребностей, поисковые системы эволюционировали в сложные системы ранжирования, где BM25 выступает как один из компонентов, дополняемый элементами машинного обучения.

BM25 как базовый компонент:

BM25 по-прежнему остается важным инструментом для определения базовой релевантности документа запросу. Его способность эффективно обрабатывать TF-IDF и учитывать длину документа делает его ценным для первичной оценки соответствия документа запросу.

Интеграция с машинным обучением:

  • Обучение ранжированию (Learning to Rank): Машинное обучение используется для построения моделей ранжирования, которые учитывают множество факторов, включая BM25, а также другие сигналы, такие как:
    Пользовательские данные: История поиска, местоположение, предпочтения.
    Поведение пользователей: Клики, время на сайте, отказы.
    Характеристики документа: Дата публикации, авторство, ссылки.
    Социальные сигналы: Лайки, репосты, комментарии.
  • Нейронные сети: Нейронные сети могут быть использованы для анализа семантики запроса и документа, выявления скрытых связей и контекста, что BM25 не способен сделать.
  • Векторные представления: Методы векторных представлений, такие как Word2Vec и Doc2Vec, позволяют представить слова и документы в виде векторов, что открывает возможности для более глубокого анализа семантического сходства.

Преимущества сочетания BM25 с машинным обучением:

  • Улучшенная релевантность: Учет дополнительных факторов и сигналов позволяет более точно определить релевантность документов, что приводит к лучшим результатам поиска.
  • Персонализация: Машинное обучение позволяет персонализировать результаты поиска, учитывая индивидуальные предпочтения и поведение пользователей.
  • Адаптивность: Модели машинного обучения могут обучаться и адаптироваться к изменениям в данных и информационных потребностях пользователей.

Примеры использования:

  • Google Search: Google использует сложную систему ранжирования, которая включает BM25, машинное обучение и множество других факторов.
  • Bing: Поисковая система Bing также использует гибридный подход, сочетающий BM25 с машинным обучением и другими методами.

BM25 остается важным компонентом современных поисковых систем, но его роль эволюционирует. В сочетании с машинным обучением, BM25 становится частью сложной системы ранжирования, способной учитывать множество факторов и предоставлять пользователям наиболее релевантные и персонализированные результаты поиска.

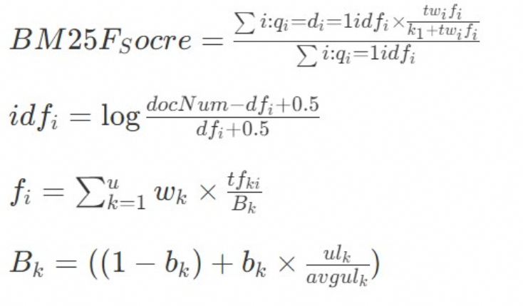
BM25F: Улучшенная версия BM25 для ранжирования документов

Введение BM25F:

BM25F является расширением классического алгоритма BM25, разработанным для улучшения ранжирования документов, содержащих несколько полей (например, заголовок, текст, аннотация). В отличие от BM25, который рассматривает документ как единое целое, BM25F учитывает важность отдельных полей и настраивает релевантность в зависимости от того, где именно встречаются термины запроса.

Ключевые отличия BM25F от BM25:

  1. Учет важности полей: BM25F присваивает каждому полю документа вес, отражающий его важность для ранжирования. Например, заголовку может быть присвоен больший вес, чем тексту документа, поскольку термины в заголовке обычно более информативны.
  2. Отдельные параметры k1 и b: В BM25F, параметры k1 и b могут быть настроены для каждого поля отдельно. Это позволяет более точно учитывать специфику каждого поля и его влияние на релевантность.
  3. Улучшенная формула: BM25F использует модифицированную формулу, которая учитывает веса полей и отдельные параметры k1 и b для каждого поля.

Преимущества BM25F:

  • Более точное ранжирование: Учитывая важность отдельных полей, BM25F способен более точно ранжировать документы, особенно когда термины запроса встречаются в разных полях.
  • Гибкость настройки: Возможность настройки параметров k1 и b для каждого поля позволяет адаптировать BM25F к конкретным задачам и коллекциям документов.
  • Совместимость с BM25: BM25F является расширением BM25, что упрощает его внедрение в существующие системы.

Пример использования BM25F:

Представьте, что вы ищете информацию о фильме "Интерстеллар". Запрос "интерстеллар" может встречаться в разных полях документа, например:

  • Заголовок: "Интерстеллар: Путешествие сквозь время и пространство"
  • Текст: "Фильм 'Интерстеллар' рассказывает историю группы исследователей..."
  • Сниппет: "Интерстеллар - научно-фантастический фильм режиссера Кристофера Нолана..."

BM25F присвоит заголовку больший вес, чем тексту и аннотации, поскольку термин "интерстеллар" в заголовке является более сильным индикатором релевантности.

BM25F представляет собой усовершенствование классического алгоритма BM25, которое позволяет более точно ранжировать документы с учетом важности отдельных полей. Благодаря своей гибкости и эффективности, BM25F является ценным инструментом для решения задач информационного поиска.

Оценка эффективности BM25: Метрики и методы

Оценка эффективности алгоритмов ранжирования, таких как BM25, является важным этапом в разработке и настройке поисковых систем. Существует множество метрик, которые позволяют измерить насколько хорошо алгоритм справляется с задачей определения релевантности документов запросу. Рассмотрим некоторые из наиболее распространенных метрик:

1. Точность (Precision):

  • Определение: Точность измеряет долю релевантных документов среди всех найденных документов.
  • Формула: Точность = (Количество релевантных найденных документов) / (Общее количество найденных документов)
  • Интерпретация: Высокая точность означает, что большинство найденных документов являются релевантными.

2. Полнота (Recall):

  • Определение: Полнота измеряет долю релевантных документов, которые были найдены, среди всех релевантных документов в коллекции.
  • Формула: Полнота = (Количество релевантных найденных документов) / (Общее количество релевантных документов)
  • Интерпретация: Высокая полнота означает, что алгоритм находит большинство релевантных документов.

3. F-мера (F-measure):

  • Определение: F-мера - это гармоническое среднее между точностью и полнотой, которое учитывает баланс между двумя метриками.
  • Формула: F1 = 2 * (Точность * Полнота) / (Точность + Полнота)
  • Интерпретация: Высокое значение F-меры означает, что алгоритм демонстрирует хорошие показатели как по точности, так и по полноте.

4. Средняя обратная позиция ранжирования (Mean Reciprocal Rank, MRR):

  • Определение: MRR измеряет обратную позицию первого релевантного документа в списке результатов.
  • Формула: MRR = 1 / (Позиция первого релевантного документа)
  • Интерпретация: Высокое значение MRR означает, что релевантные документы находятся в начале списка результатов.

5. Нормализованная дисконтированная кумулятивная прибыль (Normalized Discounted Cumulative Gain, NDCG):

  • Определение: NDCG учитывает позицию и релевантность найденных документов, присваивая больший вес релевантным документам, расположенным выше в списке результатов.
  • Формула: NDCG использует сложную формулу, учитывающую релевантность и позицию каждого документа.
  • Интерпретация: Высокое значение NDCG означает, что алгоритм не только находит релевантные документы, но и ранжирует их в правильном порядке.

Методы оценки эффективности:

  • Тестовые коллекции: Используются заранее подготовленные коллекции документов с заданными запросами и оценками релевантности.
  • A/B-тестирование: Сравниваются разные алгоритмы ранжирования на реальных пользователях, анализируя их поведение и обратную связь.
  • Оценка экспертов: Эксперты оценивают релевантность найденных документов для заданных запросов.

Выбор метрик:

Выбор метрик для оценки эффективности BM25 зависит от конкретных задач и требований поисковой системы. Некоторые факторы, которые следует учитывать:

  • Цель поиска: В зависимости от цели поиска, могут быть важнее показатели точности, полноты или ранжирования.
  • Тип запросов: Для разных типов запросов (например, информационные, навигационные) могут быть предпочтительны разные метрики.
  • Характер коллекции документов: Размер и разнообразие коллекции документов могут влиять на выбор метрик.

Оценка эффективности BM25 является важной задачей, которая позволяет определить сильные и слабые стороны алгоритма, а также сравнить его с другими методами ранжирования. Выбор подходящих метрик и методов оценки позволяет улучшить качество поисковых результатов и повысить удовлетворенность пользователей.

👉 Читайте мой SEO блог
👉
Telegram канал SEOвич
👉
YouTube канал SEOвич
👉
RuTube канал SEOвич