Добавить в корзинуПозвонить
Найти в Дзене
avbukh

Как исследовать хаос с помощью показателей Ляпунова

Раньше я рассказал отдельно про показатели Ляпунова со ссылкой на источник, в котором достаточно ясно все описано. Повторюсь здесь, что, в случае динамической системы, закон эволюции которой задан в виде системы обыкновенных дифференциальных уравнений, справедливы следующие утверждения: В случае устойчивого периодического решения старший (максимальный) показатель Ляпунова равен нулю, а остальные обязательно меньше нуля. В случае устойчивого квазипериодического решения несколько старших показателей Ляпунова равны нулю (по числу наблюдаемых независимых частот), а остальные обязательно меньше нуля. В случае установившегося и устойчивого по Пуассону хаотического режима как минимум один показатель Ляпунова является положительным. В момент бифуркации динамической системы 1 или больше показателей Ляпунова могут становиться нулевыми, это связано с изменением характера устойчивости наблюдаемых до и после бифуркации режимов. В качестве первого примера рассмотрим генератор хаоса Анищенко-Астахова

Раньше я рассказал отдельно про показатели Ляпунова со ссылкой на источник, в котором достаточно ясно все описано. Повторюсь здесь, что, в случае динамической системы, закон эволюции которой задан в виде системы обыкновенных дифференциальных уравнений, справедливы следующие утверждения:

В случае устойчивого периодического решения старший (максимальный) показатель Ляпунова равен нулю, а остальные обязательно меньше нуля.
В случае устойчивого квазипериодического решения несколько старших показателей Ляпунова равны нулю (по числу наблюдаемых независимых частот), а остальные обязательно меньше нуля.
В случае установившегося и устойчивого по Пуассону хаотического режима как минимум один показатель Ляпунова является положительным.
В момент бифуркации динамической системы 1 или больше показателей Ляпунова могут становиться нулевыми, это связано с изменением характера устойчивости наблюдаемых до и после бифуркации режимов.

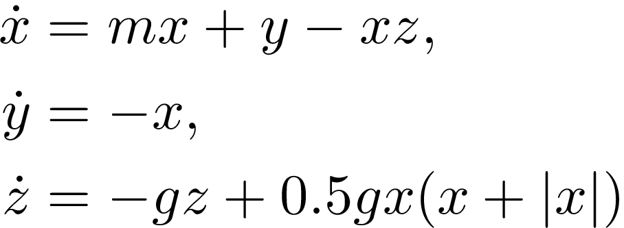
В качестве первого примера рассмотрим генератор хаоса Анищенко-Астахова.

В этой модели зафиксируем параметр g=0.17 (как в оригинальной работе Анищенко-Астахова) и будем изменять параметр m от 1 до 1.6 (как показано на рисунке 1). При m<1.537 в системе реализуются только периодические решения (нет положительных показателей Ляпунова), которые, в основном, являются устойчивыми, но теряют устойчивость при смене удвоенным предельным циклом. Теряют устойчивость наблюдаемые периодические решения в моменты, когда второй показатель Ляпунова (зеленая линия на рисунке 1) становится нулевым.

Рисунок 1. Зависимости показателей Ляпунова от параметра m при фиксированном значении параметра g в модели генератора Анищенко-Астахова.
Рисунок 1. Зависимости показателей Ляпунова от параметра m при фиксированном значении параметра g в модели генератора Анищенко-Астахова.

Второй показатель Ляпунова становится нулевым в точках m = 1.088, 1.444, 1.518 и т. д. После каскада бифуркаций удвоения происходит бифуркационный переход к режиму динамического хаоса. Стоит отметить, что старший показатель Ляпунова (фиолетовая линия на рисунке 1) не только становится положительным при дальнейшем увеличении параметра m, но и продолжает увеличиваться. Это связано с тем, что показатель Ляпунова не только характеризует наличие неустойчивости, но и количественно ее отражает.

Рисунок 2. Зависимости показателей Ляпунова от параметра g при фиксированном значении параметра m в модели генератора Анищенко-Астахова.
Рисунок 2. Зависимости показателей Ляпунова от параметра g при фиксированном значении параметра m в модели генератора Анищенко-Астахова.

Аналогичный сценарий перехода к хаосу можно наблюдать в модели генератора Анищенко-Астахова при изменении параметра g для фиксированного значения параметра m (рисунок 2). При этом между точками бифуркации, также, как и в случае фиксированного параметра g, обнаруживается константа Фейгенбаума, являющаяся универсальной для различных случаев перехода к хаосу через каскад бифуркаций удвоения периода, как в различных моделях, так и при изменении разных параметров в одной модели.

Так, например, в модели Ресслера можно наблюдать тот же сценарий перехода к хаосу, хотя модели заметно отличается от генератора Анищенко-Астахова.

-4

Сценарий перехода к хаосу через каскад бифуркаций удвоения периода в генераторе Ресслера можно наблюдать при изменении любого из параметров c, a (рисунки 3, 4, 5).

Рисунок 3. Зависимости показателей Ляпунова от параметра c при фиксированных значениях параметров a, b в модели Ресслера.
Рисунок 3. Зависимости показателей Ляпунова от параметра c при фиксированных значениях параметров a, b в модели Ресслера.
Рисунок 4. Зависимости показателей Ляпунова от параметра a при фиксированных значениях параметров c, b в модели Ресслера.
Рисунок 4. Зависимости показателей Ляпунова от параметра a при фиксированных значениях параметров c, b в модели Ресслера.

Но существуют не только такого типа, как генератор Анищенко-Астахова или Ресслера, системы, демонстрирующие хаос. Очень ярким примером хаотической системы, в которой хаос возникает через возникновение и разрушение гомоклинических траекторий.

-7

Несмотря на то, что хаос в такой системе возникает совершенно по другому сценарию, ляпуновские характеристические показатели остаются полезными для обнаружения перехода к хаосу и здесь (рисунок 5). При r≈24,06 старший показатель Ляпунова резко увеличивается, что соответствует переходу ко классическому хаотическому аттрактору Лоренца. Стоит отметить, что вычисления показателей Ляпунова недостаточно, для того, чтобы определить все подробности перехода к хаосу, но видно, что хаос возник из состояния равновесия.

Рисунок 5. Зависимости показателей Ляпунова от параметра r при фиксированных значениях параметров sigma, b в модели Лоренца.
Рисунок 5. Зависимости показателей Ляпунова от параметра r при фиксированных значениях параметров sigma, b в модели Лоренца.

Хаотический аттрактор Лоренца при r=30, b=8/3, sigma=10.
Хаотический аттрактор Лоренца при r=30, b=8/3, sigma=10.

Всех интересующихся нелинейной динамикой, нелинейными процессами и хаосом приглашаю подписываться и оставлять комментарии.

Наука
7 млн интересуются