Найти в Дзене

№ 401 из учебника по алгебре для 8-го класса (автор Ю. Н. Макарычев)

Квадратный корень из степени Уважаемые мамы и папы, дедушки и бабушки! На примерах решений слегка изменённых заданий № 401 из учебника по алгебре для 8-го класса авторов Ю. Н. Макарычева, Н. Г. Миндюк, К. И. Нешкова и С. Б. Суворова под редакцией С. А. Теляковского предлагаю вспомнить извлечение квадратного корня из степени. Упростите выражения: Решениe: В седьмом классе школьники проходили правило возведения степени в степень, а в главе II §6 п. 17 учебника на странице 93 восьмиклассники знакомятся с теоремой: корень из квадрата числа равен модулю этого числа. Доказательства этих теорем приводить не будем – это уже сделали авторы учебника. Просто используем их для решения наших примеров. Аналогичным образом решим остальные примеры: В первых четырёх примерах мы работали с чётными степенями (да и основания степени были положительные), поэтому нам не было необходимости ставить знак модуля – ведь положительное число и его модуль всегда одинаковы. В примере «д» нам впервые пришлось это сд
Оглавление

Квадратный корень из степени

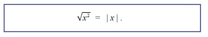
Уважаемые мамы и папы, дедушки и бабушки!

На примерах решений слегка изменённых заданий № 401 из учебника по алгебре для 8-го класса авторов Ю. Н. Макарычева, Н. Г. Миндюк, К. И. Нешкова и С. Б. Суворова под редакцией С. А. Теляковского предлагаю вспомнить извлечение квадратного корня из степени.

Упростите выражения:

Решениe:

В седьмом классе школьники проходили правило возведения степени в степень, а в главе II §6 п. 17 учебника на странице 93 восьмиклассники знакомятся с теоремой: корень из квадрата числа равен модулю этого числа.

-2

Доказательства этих теорем приводить не будем – это уже сделали авторы учебника. Просто используем их для решения наших примеров.

-3

Аналогичным образом решим остальные примеры:

-4

В первых четырёх примерах мы работали с чётными степенями (да и основания степени были положительные), поэтому нам не было необходимости ставить знак модуля – ведь положительное число и его модуль всегда одинаковы. В примере «д» нам впервые пришлось это сделать, так как отрицательное число в нечетной степени является числом отрицательным, а корень из квадрата числа равен модулю этого числа.

-5