Добавить в корзинуПозвонить
Найти в Дзене
Эпонимы и Мы

ДЕКСТРИНЫ ШАРДИНГЕРА

Или САХАРА ШАРДИНГЕРА. В конце XX века, помнится, одно время была очень популярна тема "сухой водки" - некого порошка, который, якобы, достаточно развести водой и получится полноценный спиртной напиток, способный причинять точно такое же удовольствие, как и стандартная водяра. Правда, тут же возникли, во-первых, сомнения - возможно ли такое, не вредно ли, а главное - насколько всё это соответствует нашим традициям. Но потом тему благополучно слили, и сегодня о ней, насколько мне известно, почти не вспоминают. Между тем, если уж копнуть чуть вглубь, можно выяснить, что алкоголь в виде порошка действительно существует, и изобрели его аж в 1966 году в Японии, а потом, в 1974 году, технологию переняли американцы. Суть её в следующем. Крахмал, как известно, представляет собой природный полимер, полисахарид, мономером которого является сахар амилоза. При нагревании крахмала он переходит в олигосахарид декстрин, который отличается как по физическим, так и по химическим свойствам. (В част

Или САХАРА ШАРДИНГЕРА.

В конце XX века, помнится, одно время была очень популярна тема "сухой водки" - некого порошка, который, якобы, достаточно развести водой и получится полноценный спиртной напиток, способный причинять точно такое же удовольствие, как и стандартная водяра.

Правда, тут же возникли, во-первых, сомнения - возможно ли такое, не вредно ли, а главное - насколько всё это соответствует нашим традициям. Но потом тему благополучно слили, и сегодня о ней, насколько мне известно, почти не вспоминают.

Между тем, если уж копнуть чуть вглубь, можно выяснить, что алкоголь в виде порошка действительно существует, и изобрели его аж в 1966 году в Японии, а потом, в 1974 году, технологию переняли американцы.

Суть её в следующем.

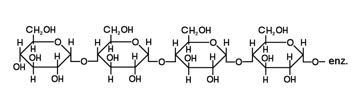
Крахмал, как известно, представляет собой природный полимер, полисахарид, мономером которого является сахар амилоза.

Крахмал
Крахмал

При нагревании крахмала он переходит в олигосахарид декстрин, который отличается как по физическим, так и по химическим свойствам. (В частности, когда крахмалят бельё, делают именно это - с помощью горячего утюга переводят один углевод в другой, придающий ткани нужную жёсткость.)

Декстрин
Декстрин

Декстрины также получаются с помощью различных ферментов, например, при соложении. Не буду расписывать тонкости этих процессов, скажу только, что в определённых условиях можно получить не линейные, а кольцевые молекулы мальтодекстринов, состоящие из 6, 7 или 8 мономеров.

-4

Вот как раз этот продукт и называется ДЕКСТРИНАМИ ШАРДИНГЕРА. А главная его особенность в том, что он обладает свойством обволакивать молекулы других веществ - в данном случае алкоголя, создавая необходимую порошковую консистенцию. И при этом совершенно безвреден, полностью усваивается организмом, как и обычная глюкоза или крахмал.

Этот порошок со "спрятанными" внутри его декстринных кольцевых структур молекулами техи ли иных соединений используют в самых разных целях. Их можно использовать как носители тех или иных веществ, которые нужно транспортировать в организм. То есть это не просто смесь крахмала с лекарством, а своего рода набор микрокапсул, способных надёжно удерживать действующее вещество внутри, но легко распадающееся в организме. Кроме того ДЕКСТРИНЫ ШАРДИНГЕРА позволяют совмещать обычно несовместимые лекарственные препараты, в том числе те, которые при смешивании могут выпасть в осадок

Такие "молекулы с начинкой" также способны связывать ароматы, а потом выпускать их при нагревании. Это уместно при производстве каких-нибудь присыпок, ароматизаторов, отдушек и т.д. Помимо косметики и фармацевтики они применяются в аналитической химии, биотехнологиях, добыче нефти и пр.

Кстати, бета-циклодекстрин зарегистрирован в качестве пищевой добавки E459.

-5

Думаю, если поискать, можно найти множество сфер применения для этих соединений.

Но вот что странно... Даже в такой свободной стране как США, где Управление по санитарному надзору за качеством пищевых продуктов и медикаментов одобрило такую "сухую" форму алкоголя, это вызвало довольно большой резонанс и негативную реакцию в массах. Хотя, казалось бы, вольному воля: хочешь - пей классическую водку, не нравится - употребляй порошковую. Ан нет, похоже, тут затронуты какие-то очень важные и серьёзные механизмы, связанные с базовыми устоями и пресловутыми скрепами.

-6

Скорее всего, дело тут в другом. Просто одно дело - выпить рюмку водки, две, три и пр., можно просчитать и понять, где пора остановиться. А вот когда глотаешь таблетку ДЕКСТРИНОВ ШАРДИНГЕРА - как узнать, тебе уже хватит или ещё мало? Опять же, если, не дай бог, человек вдохнул порошковой водки, она обязательно попадёт туда, где ей совсем не место, и гарантированно вызовет ожог слизистых оболочек дыхательных путей.

-7

К сожалению, про первооткрывателя этих соединений - австрийского профессора Франца Шардингера (1853-1920), информации почти нет. Известно лишь, что он работал в Институте пищевых исследований в Вене, и там обнаружил два кристаллических побочных продукта при разложении крахмала аналогично французскому фармацевту и химику Вилье, который первым описал эти материалы.

Но Шардингер смог выделить их с гораздо более высоким выходом, чем Вилье, что дало ему возможность для более детальных исследований. Он выделил Bacillus macerans, микробы, продуцирующие кристаллические “амилодекстрины”, которые позже назвал кристаллическими α- и β-декстринами. А ещё разработал процедуру их получения и разделения этих двух типов декстринов, обнаружил способность к комплексообразованию и выдвинул гипотезу об их циклической структуре.

Вы можете поддержать канал, перечислив любую доступную вам сумму на кошелёк ЮMoney 4100 1102 6253 35 (или на карту Райффайзенбанка 2200 3005 3005 2776). И поучаствовать в создании книги по материалам этих статей. Заранее всем спасибо!