Добавить в корзинуПозвонить
Найти в Дзене

№ 331 из учебника по алгебре для 8-го класса (автор Ю. Н. Макарычев)

Квадрат суммы и квадрат разности двух выражений Уважаемые мамы и папы, дедушки и бабушки! На примерах решений заданий № 331 из учебника по алгебре для 8-го класса авторов Ю. Н. Макарычева, Н. Г. Миндюк, К. И. Нешкова и С. Б. Суворова под редакцией С. А. Теляковского предлагаю вспомнить возведение в квадрат суммы и разности двух выражений. Вычислите: Решениe: Для возведения в квадрат скобок мы использовали формулу квадрата разности двух выражений. Затем в получившимся выражении сократили противоположные слагаемые и оставшиеся числа сложили. Для возведения в квадрат скобок мы использовали формулу квадрата суммы двух выражений. Затем в получившимся выражении сократили противоположные слагаемые и оставшиеся числа сложили. Для возведения в квадрат первой пары скобок мы применили формулу квадрата разности двух выражений. Для возведения в квадрат второй пары скобок мы использовали формулу квадрата суммы двух выражений. Затем раскрыли скобки и в получившимся выражении сократили противополо
Оглавление

Квадрат суммы и квадрат разности двух выражений

Уважаемые мамы и папы, дедушки и бабушки!

На примерах решений заданий № 331 из учебника по алгебре для 8-го класса авторов Ю. Н. Макарычева, Н. Г. Миндюк, К. И. Нешкова и С. Б. Суворова под редакцией С. А. Теляковского предлагаю вспомнить возведение в квадрат суммы и разности двух выражений.

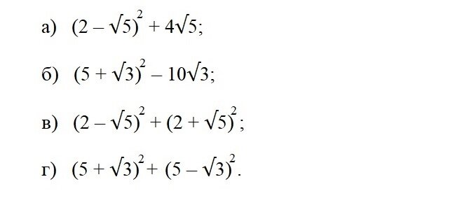
Вычислите:

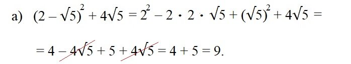
Решениe:

-2

Для возведения в квадрат скобок мы использовали формулу квадрата разности двух выражений. Затем в получившимся выражении сократили противоположные слагаемые и оставшиеся числа сложили.

-3

Для возведения в квадрат скобок мы использовали формулу квадрата суммы двух выражений. Затем в получившимся выражении сократили противоположные слагаемые и оставшиеся числа сложили.

-4

Для возведения в квадрат первой пары скобок мы применили формулу квадрата разности двух выражений. Для возведения в квадрат второй пары скобок мы использовали формулу квадрата суммы двух выражений. Затем раскрыли скобки и в получившимся выражении сократили противоположные слагаемые, а оставшиеся числа сложили.

-5

Для возведения в квадрат первой пары скобок мы применена формулу квадрата суммы двух выражений. Для возведения в квадрат второй пары скобок использовали формулу квадрата разности двух выражений. Затем раскрыли скобки и в получившимся выражении сократили противоположные слагаемые, а оставшиеся числа сложили.