Добавить в корзинуПозвонить
Найти в Дзене

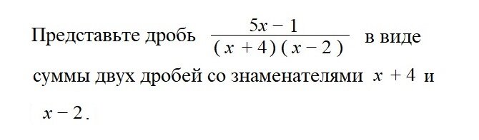
№ 198 из учебника по алгебре для 8-го класса (автор Ю. Н. Макарычев)

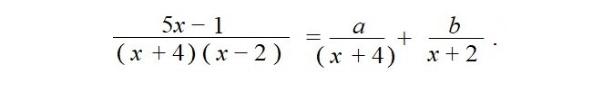
Представление дроби в виде суммы дробей. Предлагаю вспомнить представление дроби в виде суммы дробей на примере решения задачи № 198 из учебника по алгебре для 8-го класса авторов Ю. Н. Макарычева, Н. Г. Миндюк, К. И. Нешкова и С. Б. Суворова под редакцией С. А Теляковского. Условие задачи: Решение: Допустим, что Чтобы сложить (вычесть) дроби с разными знаменателями, надо привести их к общему знаменателю, а затем применить правило сложения (вычитания) дробей с одинаковыми знаменателями. В обеих частях уравнения у дробей одинаковые знаменатели, поэтому 5x – 1 = a (x – 2 ) + b ( x + 4 ); 5x – 1= ax – 2a + bx + 4b. В правой части уравнения сгруппируем первый член многочлена с третьим и вынесем за скобки множитель x. Получим 5x –1= x ( a + b ) – 2a + 4b. Из получившегося равенства видно, что a + b = 5 и – 2a + 4b = – 1. Таким образом, надо решить систему из двух уравнений: Из первого уравнения следует, что a = 5 – b. Подставляем значение a во второе уравнение: – 2 ( 5 – b ) + 4b = – 1; – 1
Оглавление

Представление дроби в виде суммы дробей.

Предлагаю вспомнить представление дроби в виде суммы дробей на примере решения задачи № 198 из учебника по алгебре для 8-го класса авторов Ю. Н. Макарычева, Н. Г. Миндюк, К. И. Нешкова и С. Б. Суворова под редакцией С. А Теляковского.

Условие задачи:

Решение:

Допустим, что

-2

Чтобы сложить (вычесть) дроби с разными знаменателями, надо привести их к общему знаменателю, а затем применить правило сложения (вычитания) дробей с одинаковыми знаменателями.

В обеих частях уравнения у дробей одинаковые знаменатели, поэтому

5x – 1 = a (x – 2 ) + b ( x + 4 );

5x – 1= ax – 2a + bx + 4b.

В правой части уравнения сгруппируем первый член многочлена с третьим и вынесем за скобки множитель x. Получим

5x –1= x ( a + b ) 2a + 4b.

Из получившегося равенства видно, что a + b = 5 и – 2a + 4b = – 1. Таким образом, надо решить систему из двух уравнений:

-3

Из первого уравнения следует, что a = 5 b. Подставляем значение a во второе уравнение:

– 2 ( 5 b ) + 4b = – 1;

– 10 + 2b + 4b = – 1.

Решить это уравнение нам поможет правило переноса слагаемых из одной части уравнения в другую:

2b + 4b = – 1 + 10.

Теперь у нас с каждой стороны слагаемые с одинаковой буквенной частью, и мы можем уравнение упростить (такое упрощение называют приведением подобных слагаемых):

6b = 9;

b = 9 : 6;

b = 1,5.

Чтобы найти a, подставляем «1,5» в уравнение a = 5 b:

a = 5 – 1,5;

a = 3,5.

Следовательно

-4