Найти в Дзене

№ 195 из учебника по алгебре для 8-го класса (автор Ю. Н. Макарычев)

Сложение дробей с разными знаменателями. Способ группировки. Решение задачи с помощью системы уравнений Условие задачи: При каких значениях a и b является тождеством равенство Решение: Чтобы сложить (вычесть) дроби с разными знаменателями, надо привести их к общему знаменателю, а затем применить правило сложения (вычитания) дробей с одинаковыми знаменателями. В обеих частях уравнения у дробей одинаковые знаменатели, поэтому 5x + 31 = a (x + 2 ) + b ( x – 5 ); 5x + 31 = ax + 2a + bx –5b. В правой части уравнения сгруппируем первый член многочлена с третьим и вынесем за скобки множитель x. Получим 5x + 31 = x ( a + b ) + 2a – 5b. Из получившегося равенства видно, что a + b = 5 и 2a – 5b = 31. Таким образом, надо решить систему из двух уравнений: Из первого уравнения следует, что a = 5 – b. Подставляем значение a во второе уравнение: 2 ( 5 – b ) – 5b = 31; 10 – 2b – 5b = 31. Решить это уравнение нам поможет правило переноса слагаемых из одной части уравнения в другую: – 2b – 5b = 31 – 10.
Оглавление

Сложение дробей с разными знаменателями. Способ группировки. Решение задачи с помощью системы уравнений

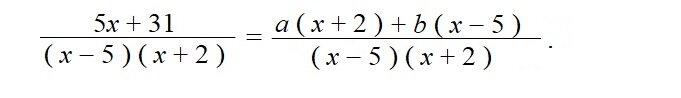
Условие задачи:

При каких значениях a и b является тождеством равенство

Решение:

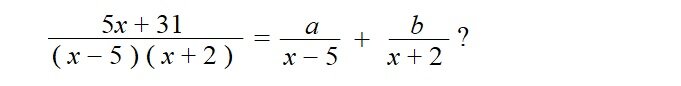
Чтобы сложить (вычесть) дроби с разными знаменателями, надо привести их к общему знаменателю, а затем применить правило сложения (вычитания) дробей с одинаковыми знаменателями.

-2

В обеих частях уравнения у дробей одинаковые знаменатели, поэтому

5x + 31 = a (x + 2 ) + b ( x – 5 );

5x + 31 = ax + 2a + bx –5b.

В правой части уравнения сгруппируем первый член многочлена с третьим и вынесем за скобки множитель x. Получим

5x + 31 = x ( a + b ) + 2a – 5b.

Из получившегося равенства видно, что a + b = 5 и 2a – 5b = 31. Таким образом, надо решить систему из двух уравнений:

-3

Из первого уравнения следует, что a = 5 b. Подставляем значение a во второе уравнение:

2 ( 5 b ) – 5b = 31;

10 – 2b – 5b = 31.

Решить это уравнение нам поможет правило переноса слагаемых из одной части уравнения в другую:

– 2b – 5b = 31 – 10.

Теперь у нас с каждой стороны слагаемые с одинаковой буквенной частью, и мы можем уравнение упростить (такое упрощение называют приведением подобных слагаемых):

– 7b = 21;

b = 21 : ( – 7 );

b = – 3.

Чтобы найти a, подставляем «– 3» в уравнение a = 5 b:

a = 5 – ( – 3 );

a = 5 + 3;

a = 8.

Ответ: a = 8, b = – 3.