Добавить в корзинуПозвонить
Найти в Дзене
Про всё

Как аппроксимировать периодическую функцию методом наименьших квадратов (МНК)

Часто возникает задача аппроксимации различных зависимостей заданными функциями. Наиболее универсальным методом аппроксимации является метод наименьших квадратов (МНК). Постановка задачи Допустим, необходимо аппроксимировать методом наименьших квадратов полученную (см. рисунок) зависимость с периодом 2(Пи). Для нахождения решения недостаточно будет задать функцию синуса или косинуса (y = Asin(x) или y = Acos(x)), так как видно, что амплитуда зависимости несимметрична относительно оси абсцисс (ось Х). Грубо говоря, зависимость сдвинута "вверх". Также не определена начальная фаза. Поиск решения Одним из возможных и красивых решений будет применение Тригонометрического ряда Фурье с целью описания нашей зависимости. Так как, очевидно, функция имеет только одну гармонику, а период равен 2(Пи), то применение тригонометрического ряда Фурье напрашивается само собой. Сначала необходимо минимизировать сумму квадратов отклонений S (применяем МНК). Для этого определяем частные производные уравнени
Оглавление

Часто возникает задача аппроксимации различных зависимостей заданными функциями. Наиболее универсальным методом аппроксимации является метод наименьших квадратов (МНК).

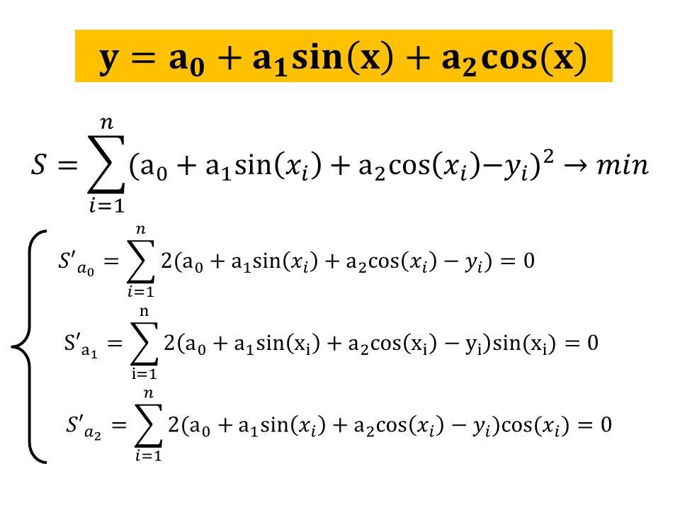
Постановка задачи

Допустим, необходимо аппроксимировать методом наименьших квадратов полученную (см. рисунок) зависимость с периодом 2(Пи).

Зависимость Y - X
Зависимость Y - X
Для нахождения решения недостаточно будет задать функцию синуса или косинуса (y = Asin(x) или y = Acos(x)), так как видно, что амплитуда зависимости несимметрична относительно оси абсцисс (ось Х). Грубо говоря, зависимость сдвинута "вверх". Также не определена начальная фаза.

Поиск решения

Одним из возможных и красивых решений будет применение Тригонометрического ряда Фурье с целью описания нашей зависимости. Так как, очевидно, функция имеет только одну гармонику, а период равен 2(Пи), то применение тригонометрического ряда Фурье напрашивается само собой.

Сначала необходимо минимизировать сумму квадратов отклонений S (применяем МНК). Для этого определяем частные производные уравнения S по неизвестным коэффициентам и приравниваем полученные уравнения частных производных к нулю.

Дальнейшее решение сводится к нахождению неизвестных коэффициентов уравнения (в данном случае их три - а0, а1 и а2) посредством решения системы алгебраических линейных уравнения (СЛАУ).

Обратим внимание, что коэффициент а0 - это не что иное, как некое значение, на которое "поднята" наша зависимость над осью Х.
СЛАУ для нахождения неизвестных коэффициентов тригонометрического ряда Фурье
СЛАУ для нахождения неизвестных коэффициентов тригонометрического ряда Фурье
Приведение СЛАУ к наглядному виду
Приведение СЛАУ к наглядному виду

Решить СЛАУ можно различными известными способами:

  • методом Крамера
  • методом Гаусса
  • матричным методом
  • а также многими другими

Какой из способов выбрать - решать Вам. Для простоты и оперативности решения систем уравнений также всегда можно воспользоваться готовыми программными решениями, которые на данном этапе технического развития человечества можно найти, например, в сети "Интернет".

Результаты и их графическое представление

Решение системы уравнений со значениями, представленными в предыдущей галереи, даёт нам следующие значения искомых коэффициентов:

Искомые коэффициенты уравнения
Искомые коэффициенты уравнения

Подставив полученные значения в заданную функцию, можно смело аппроксимироваться исходную зависимость с получением следующего результата.

Точки исходной зависимости и аппроксимирующая их линия
Точки исходной зависимости и аппроксимирующая их линия

Заключение

Таким образом, нам удалось описать (аппроксимировать) заданную "экспериментальными" точками зависимость. Для этого мы воспользовались тригонометрическим рядом Фурье (заданная аппроксимирующая функция) и применили метод наименьших квадратов с целью нахождения коэффициентов нашей аппроксимирующей функции.

  • Спасибо Вам за уделённое время! Дальше - больше и интереснее.
    Смотрите также: